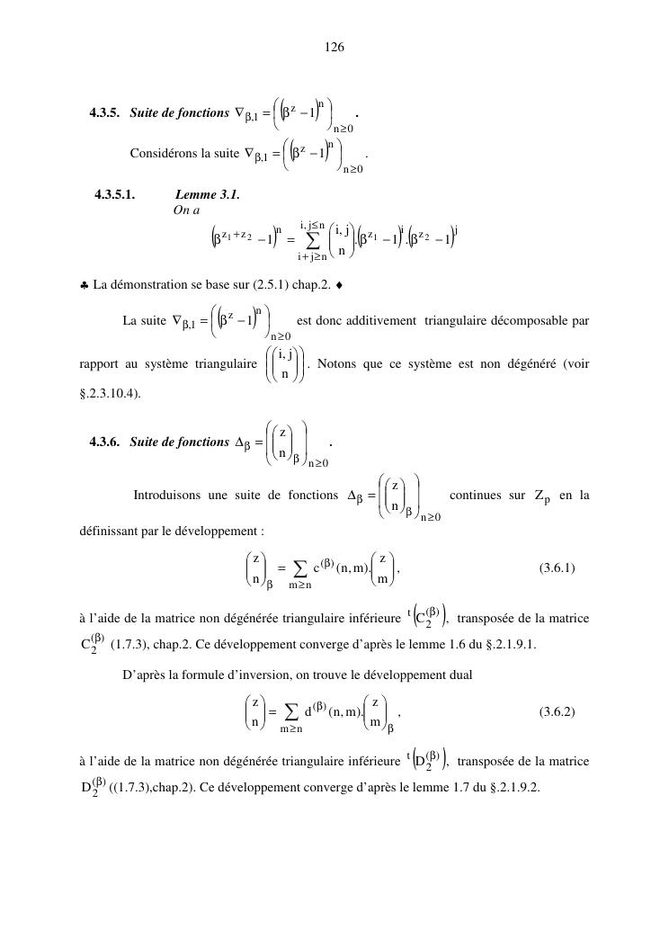
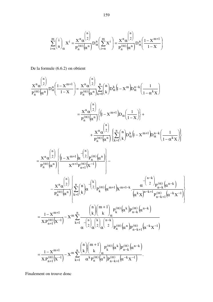
Université d’Antananarivo
Accueil
Thèses
Mémoires
Statistiques
recherche
Connexion
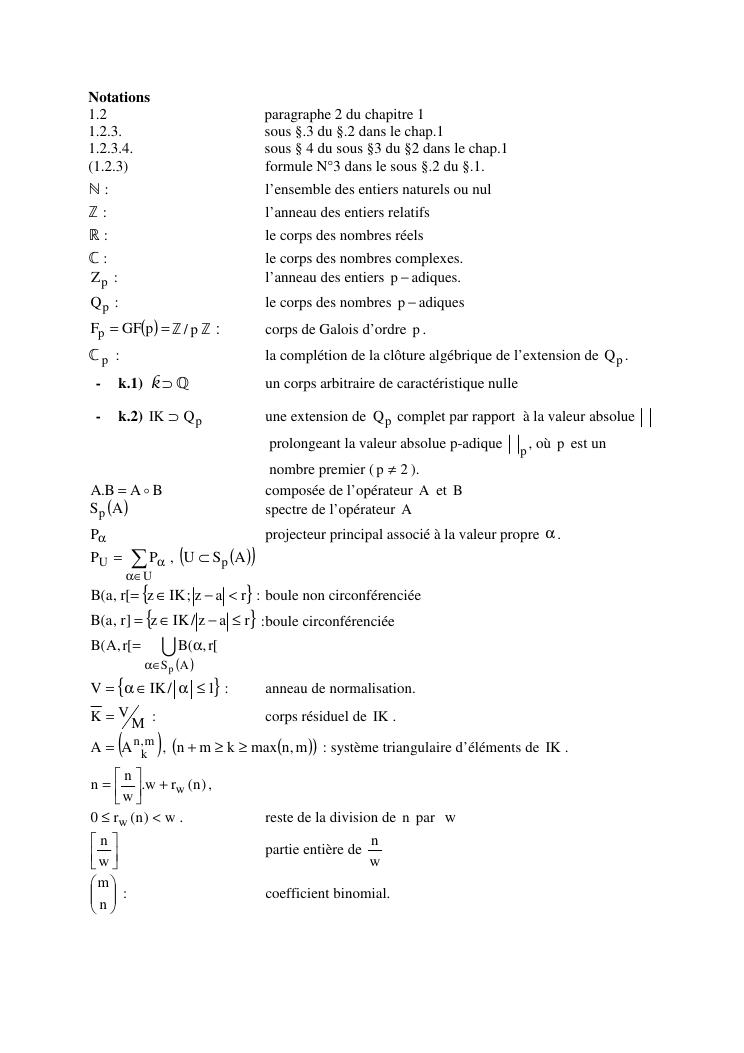
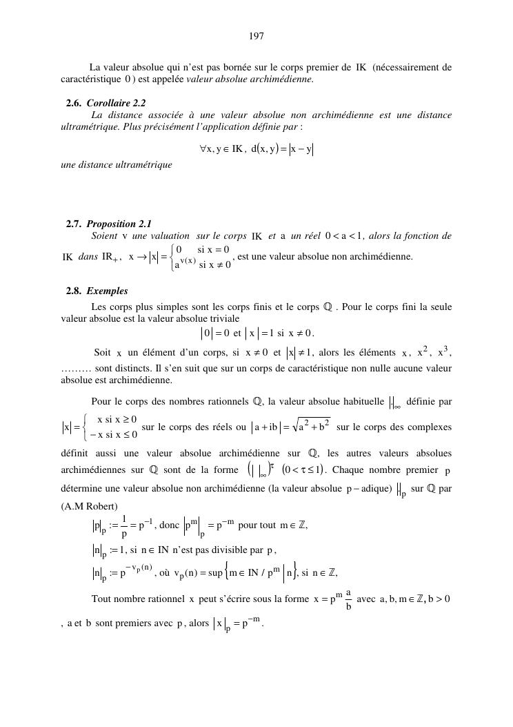
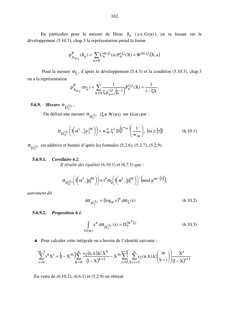
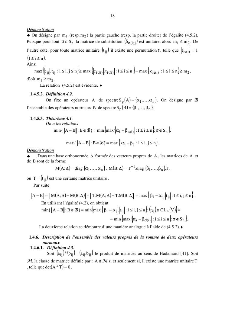
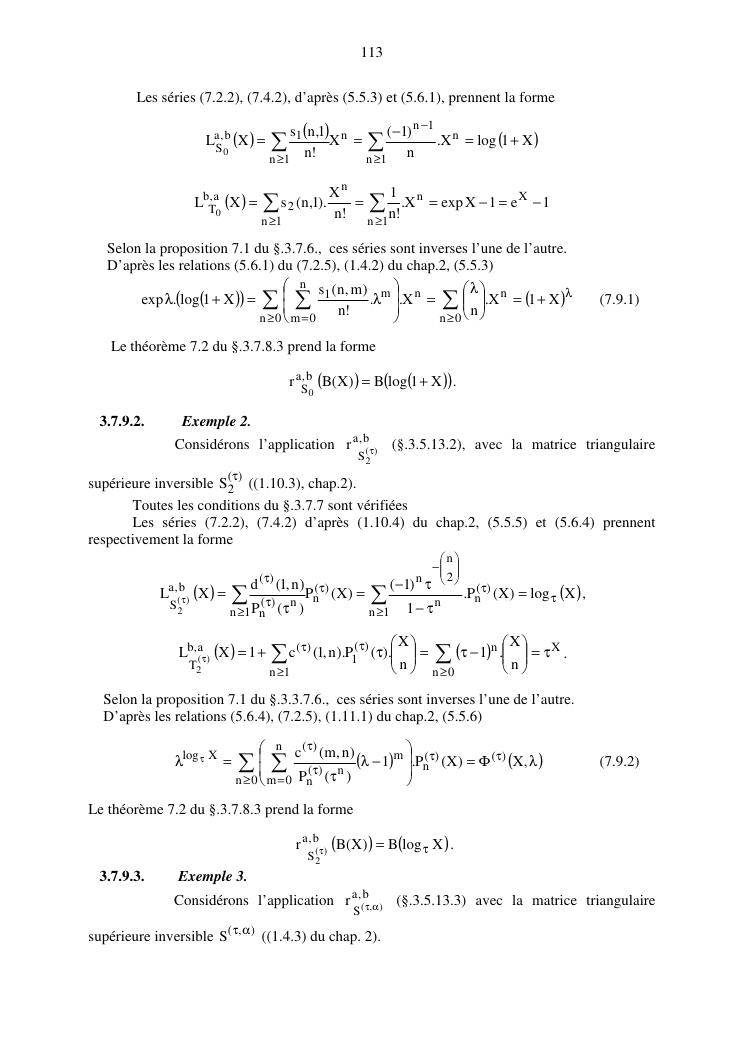
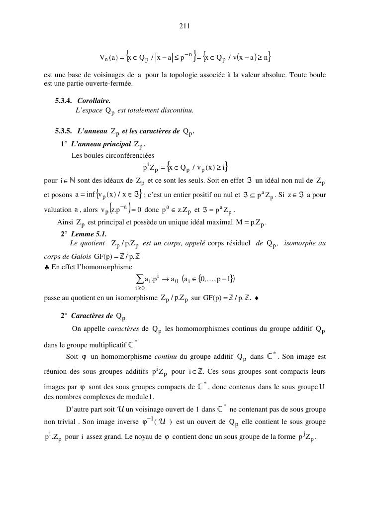
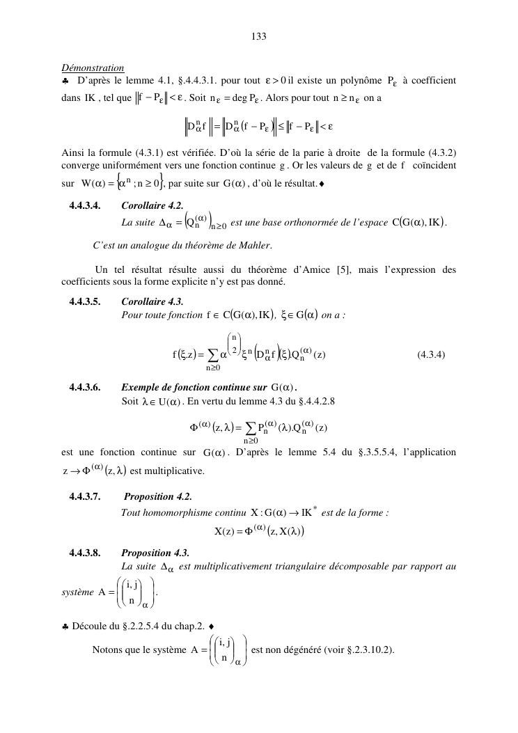
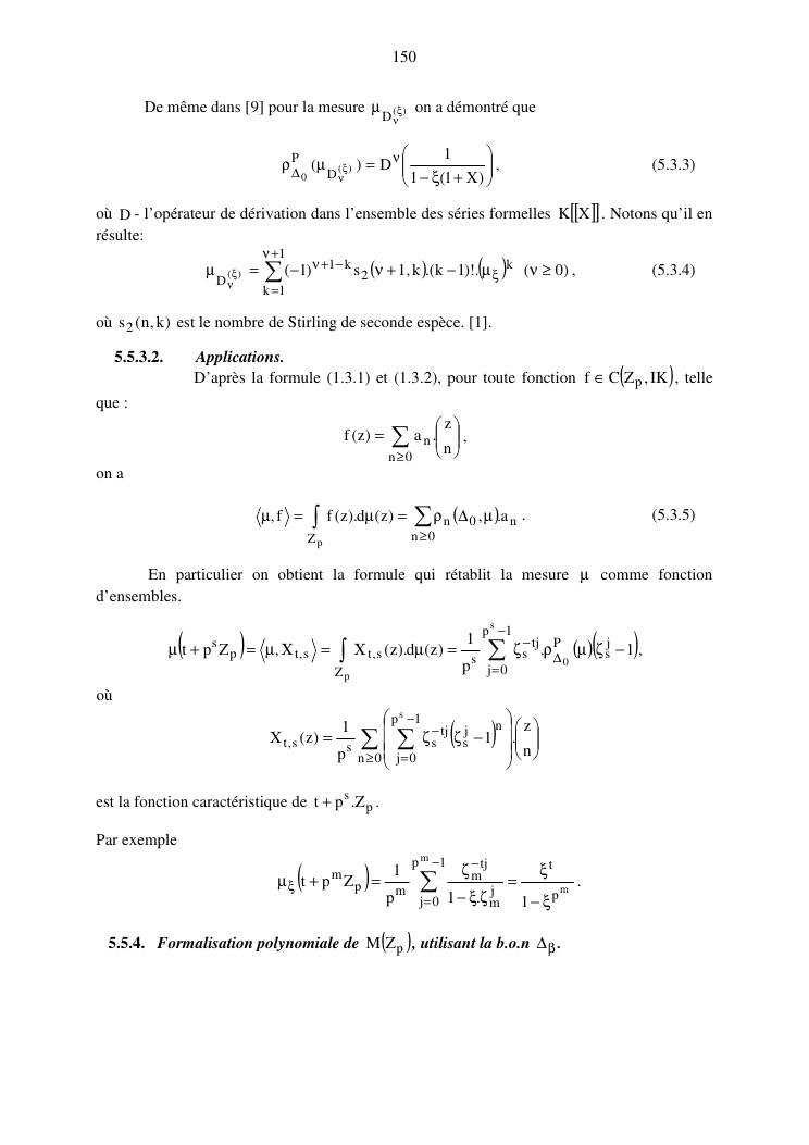
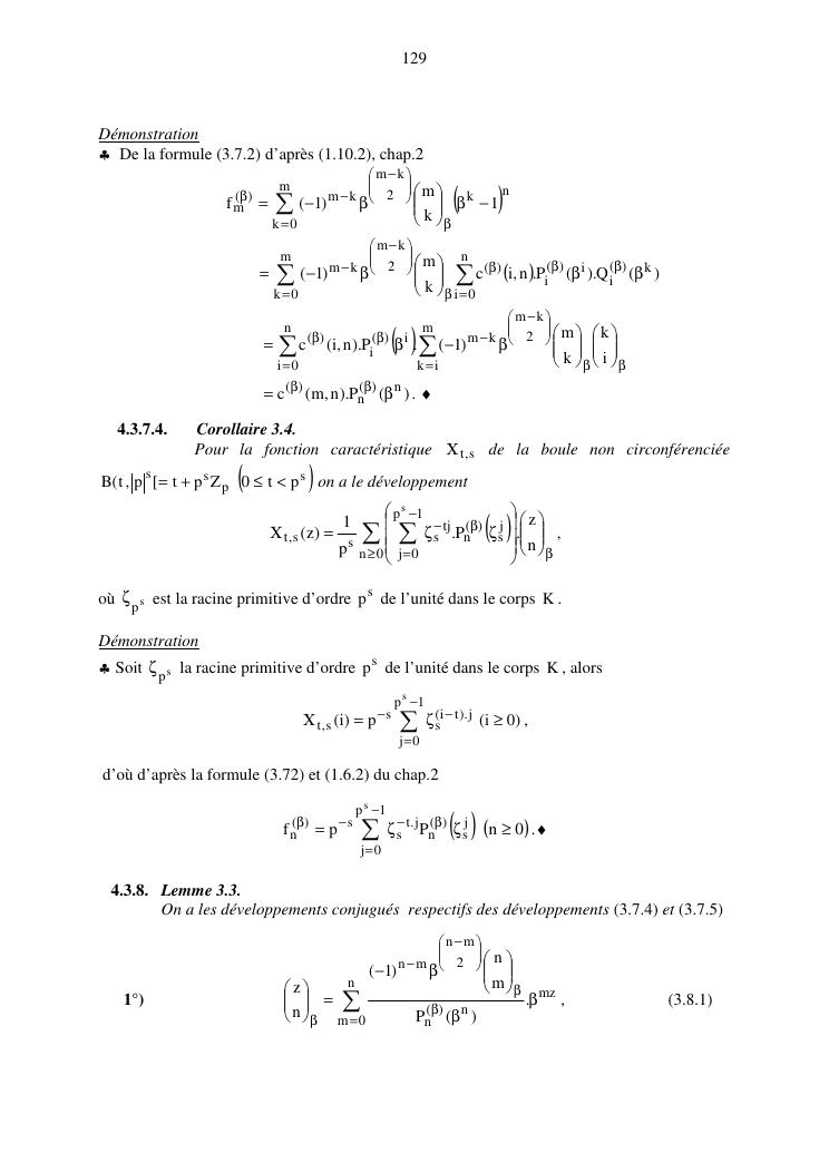
problemes lineaires en analyse non archimedienne