Université d’Antananarivo
Accueil
Thèses
Mémoires
Statistiques
recherche
Connexion
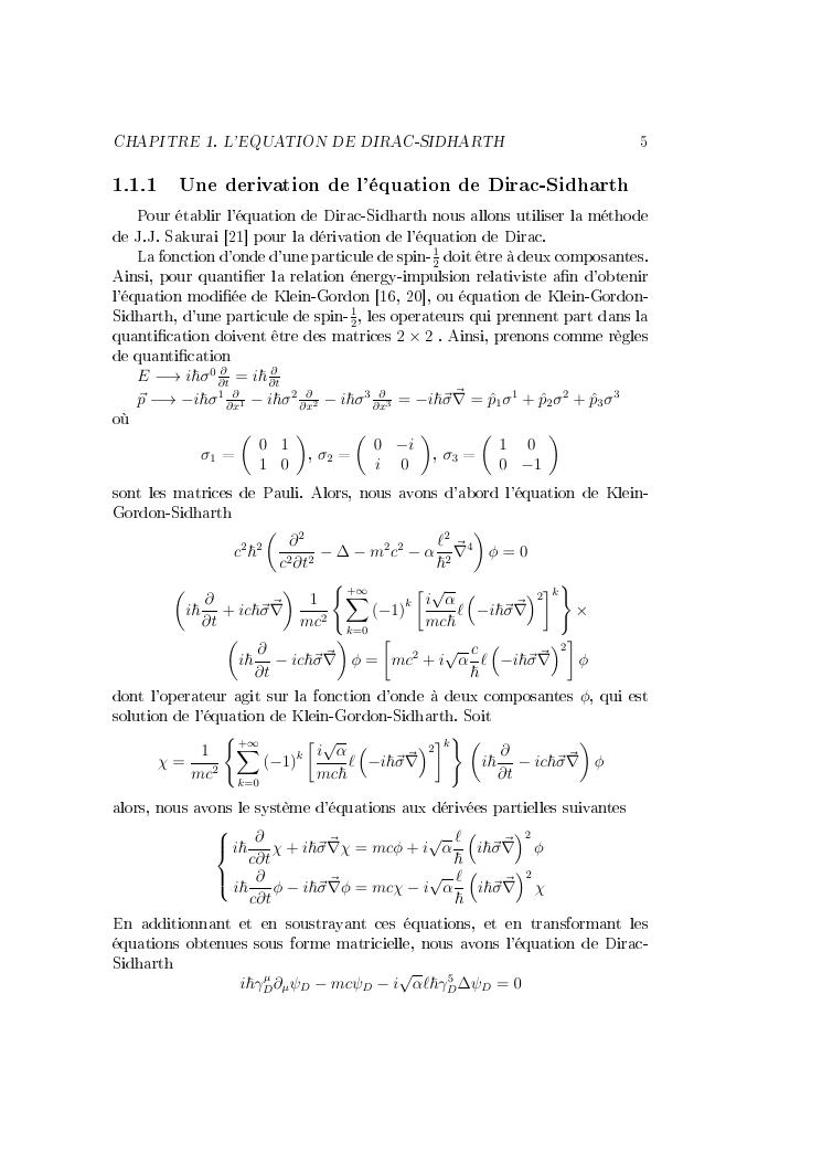
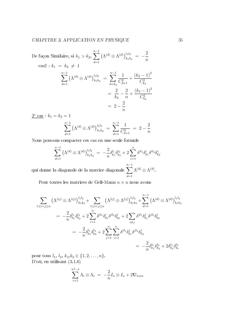
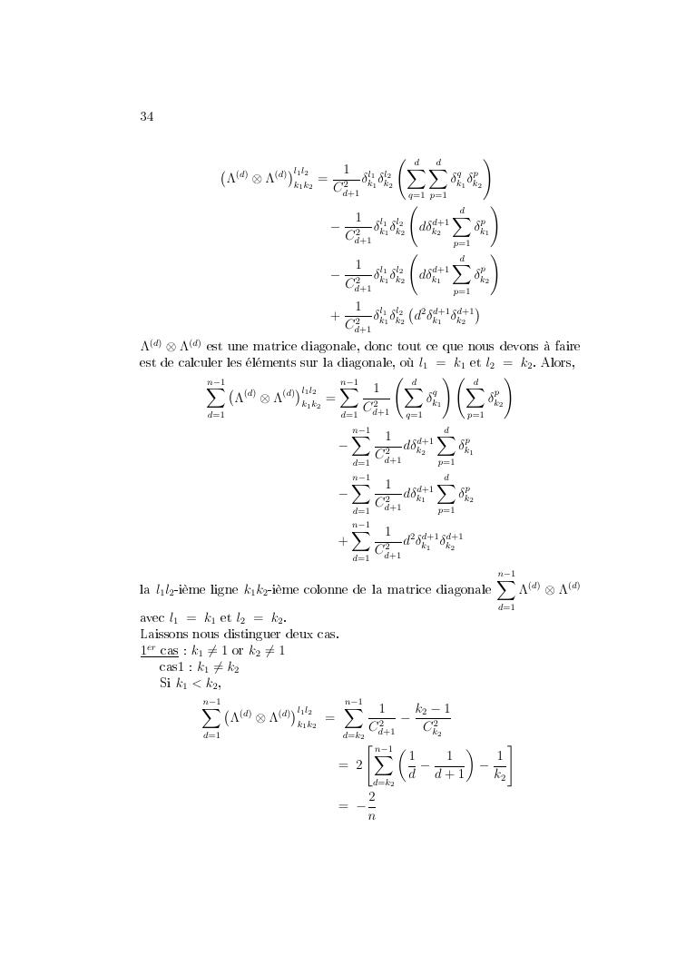
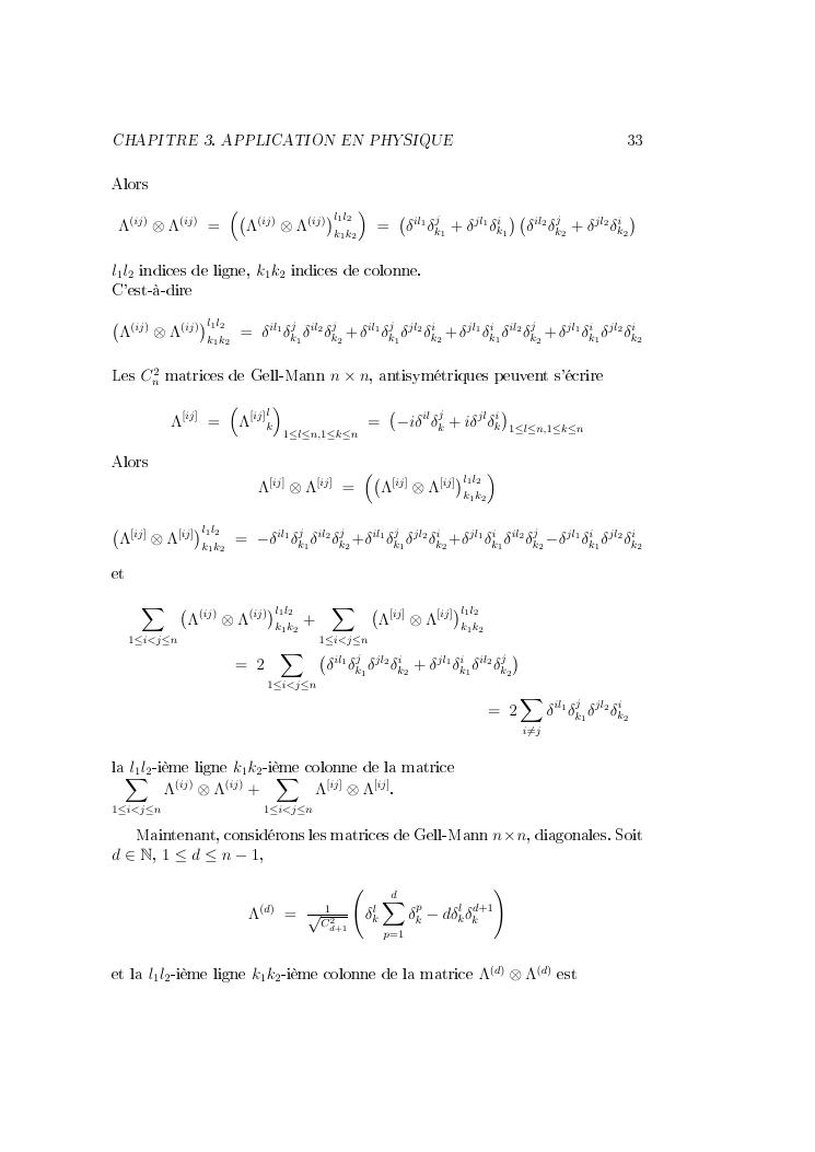
matrices de commutation tensorielle : de l'equation de dirac vers une application en physique des particules : synthèses