Université d’Antananarivo
Accueil
Thèses
Mémoires
Statistiques
recherche
Connexion
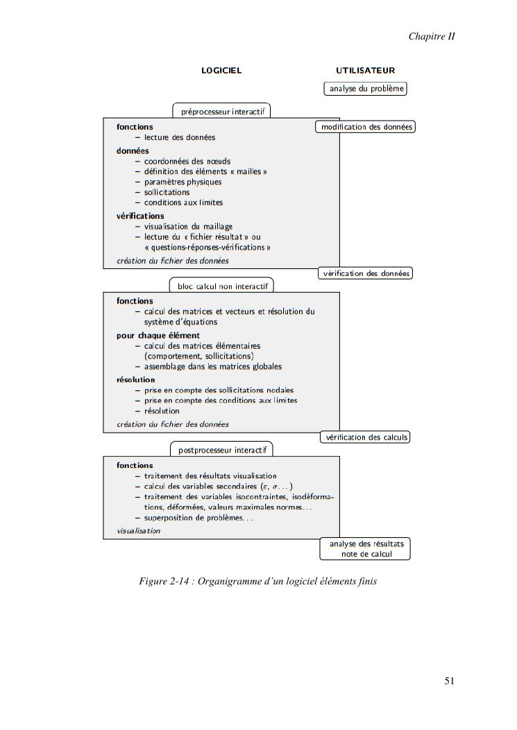
modelisation du couplage magnetoelectrique : application a la simulation de structures lamellaires