Université d’Antananarivo
Accueil
Thèses
Mémoires
Statistiques
recherche
Connexion
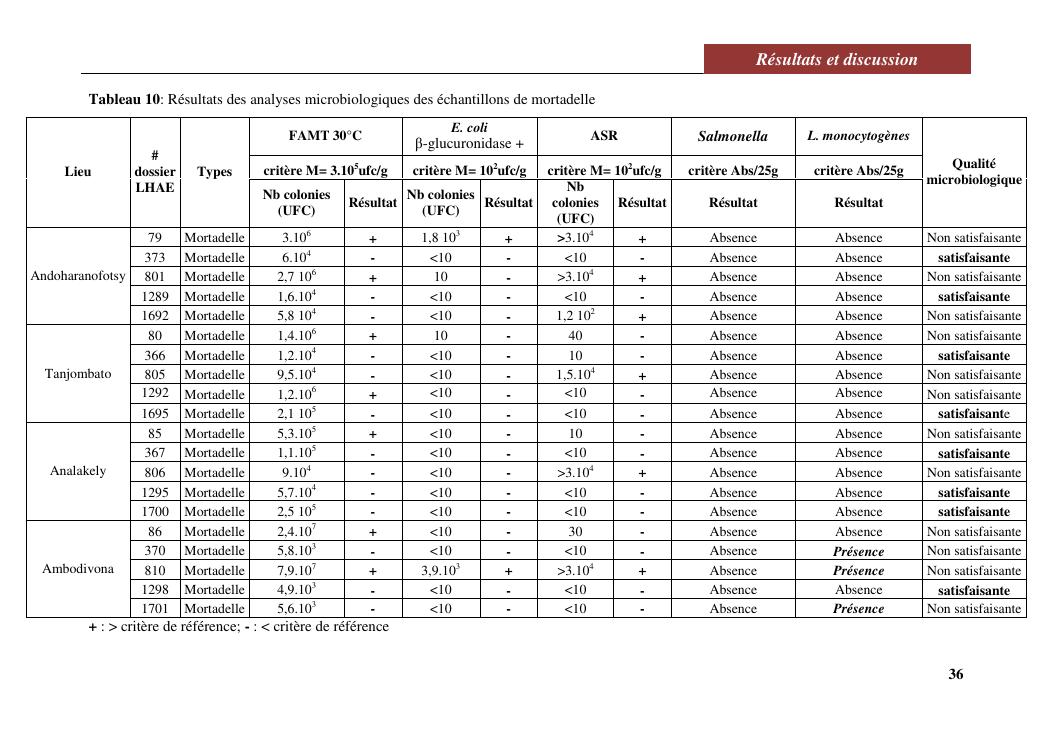
qualite microbiologique des produits de charcuterie fabriques a antananarivo ville et ses peripheries