Université d’Antananarivo
Accueil
Thèses
Mémoires
Statistiques
recherche
Connexion
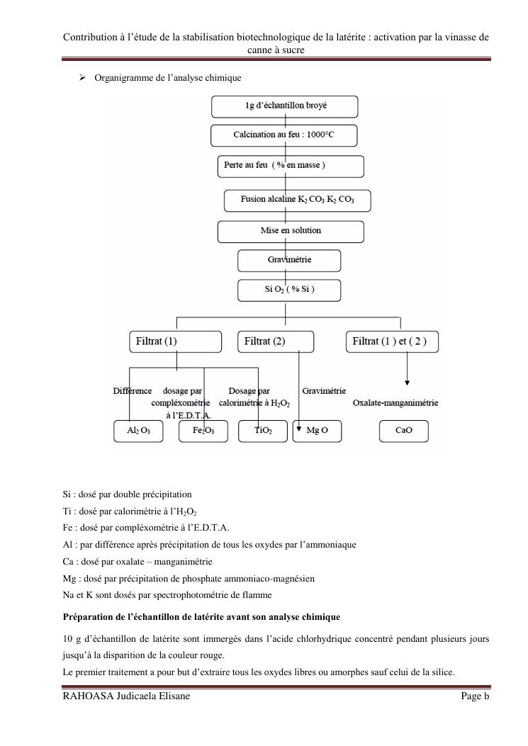
contribution a l'etude de la stabilisation biotechnologique de la laterite : activation par la vinasse de canne a sucre