Université d’Antananarivo
Accueil
Thèses
Mémoires
Statistiques
recherche
Connexion
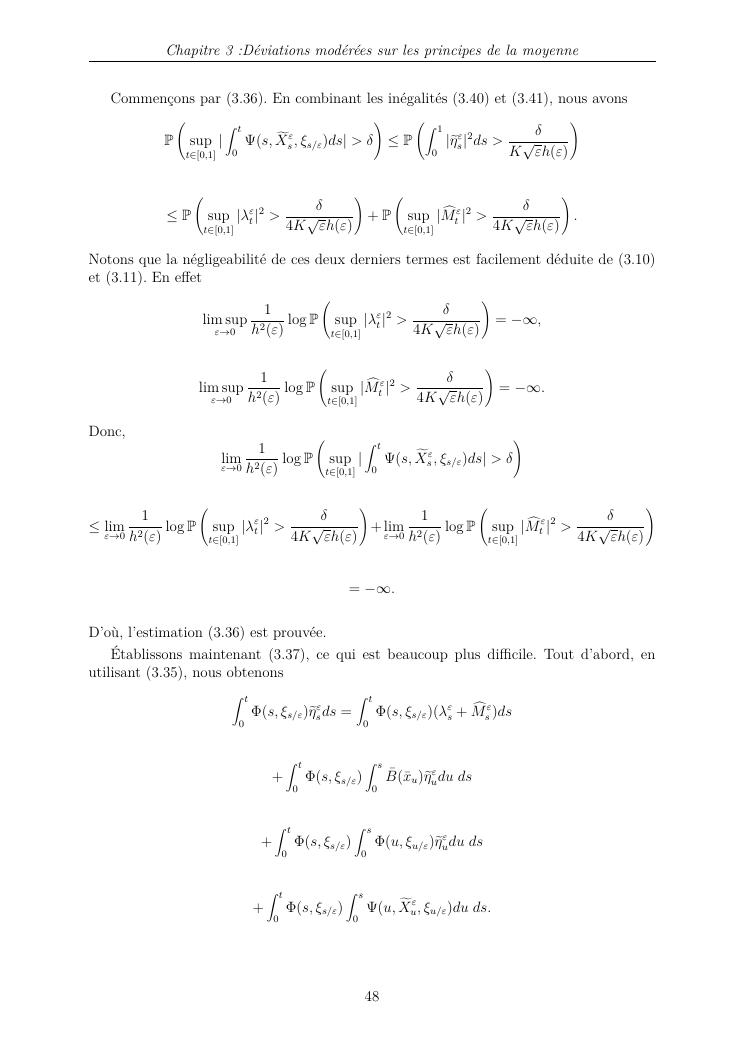
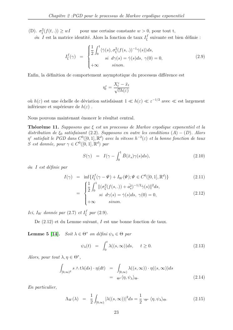
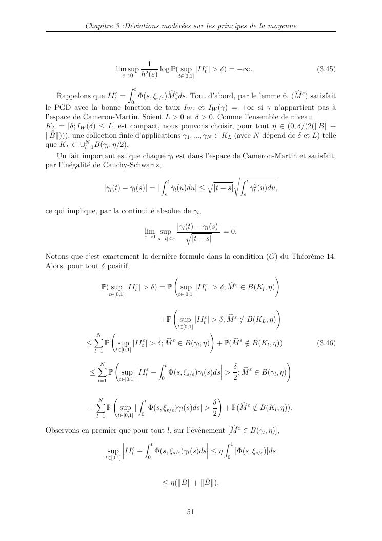
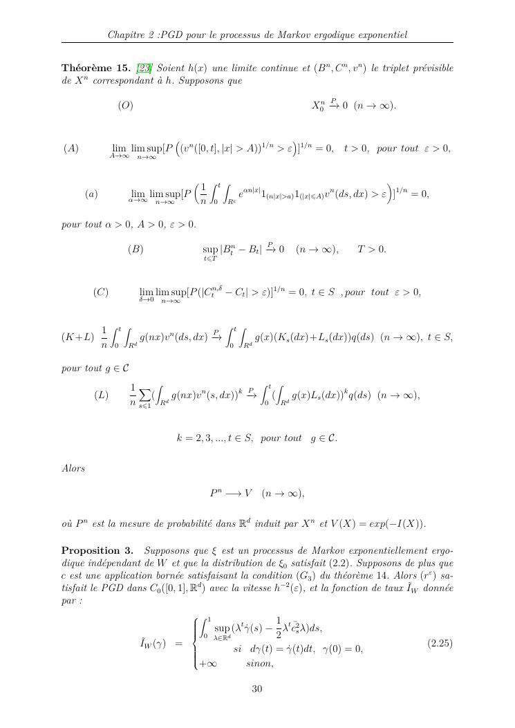
principes de moyennisation pour des equations differentielles stochastiques avec petite diffusion : deviations moderees