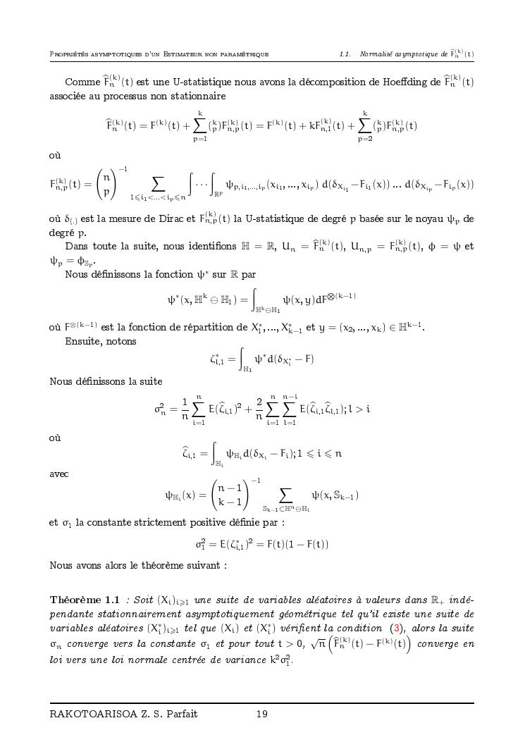
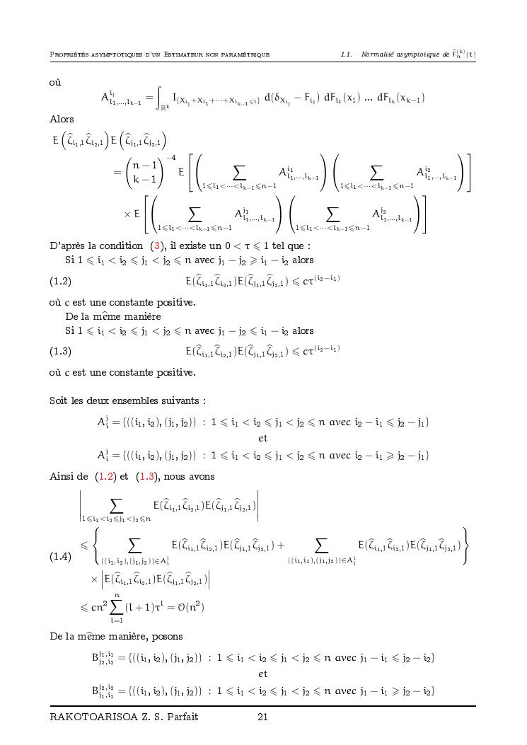
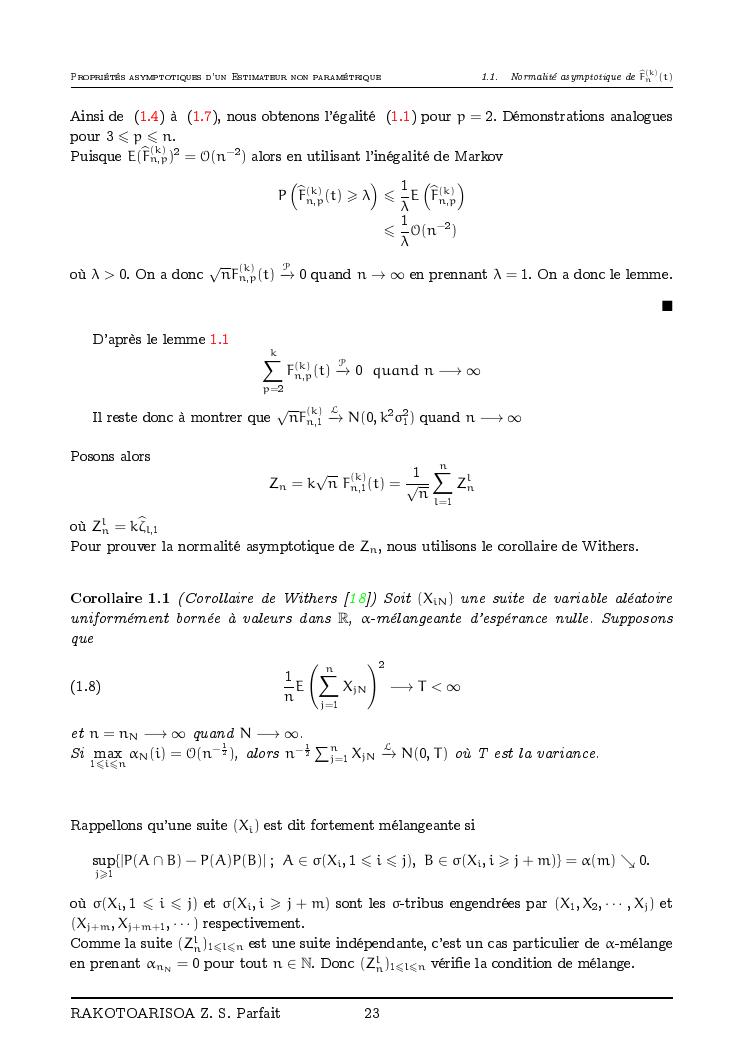
Université d’Antananarivo
Accueil
Thèses
Mémoires
Statistiques
recherche
Connexion
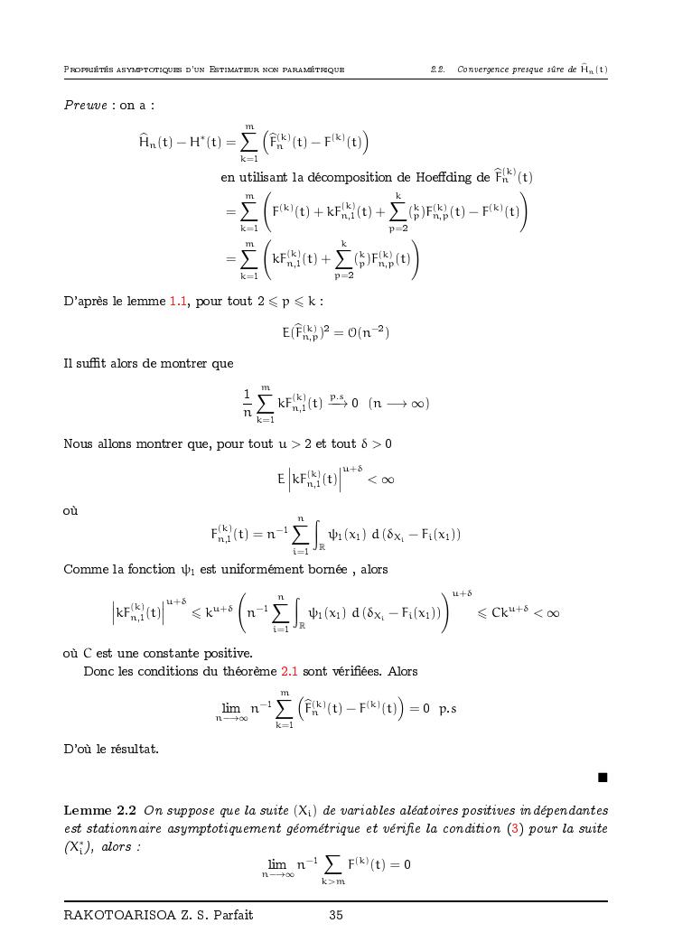
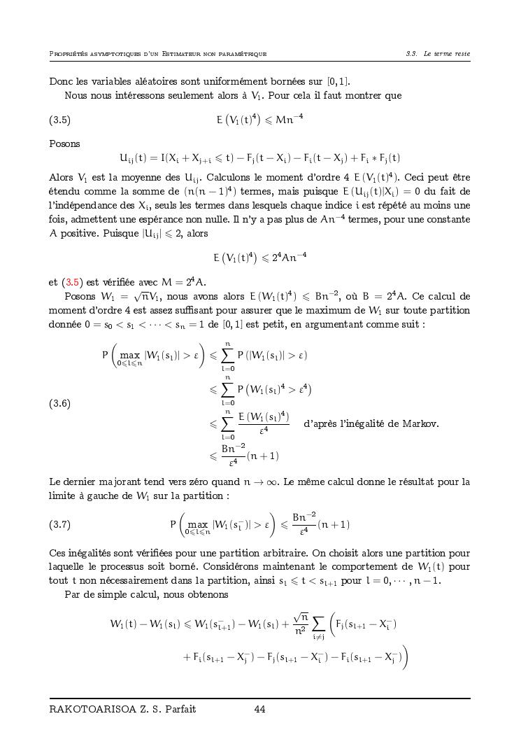
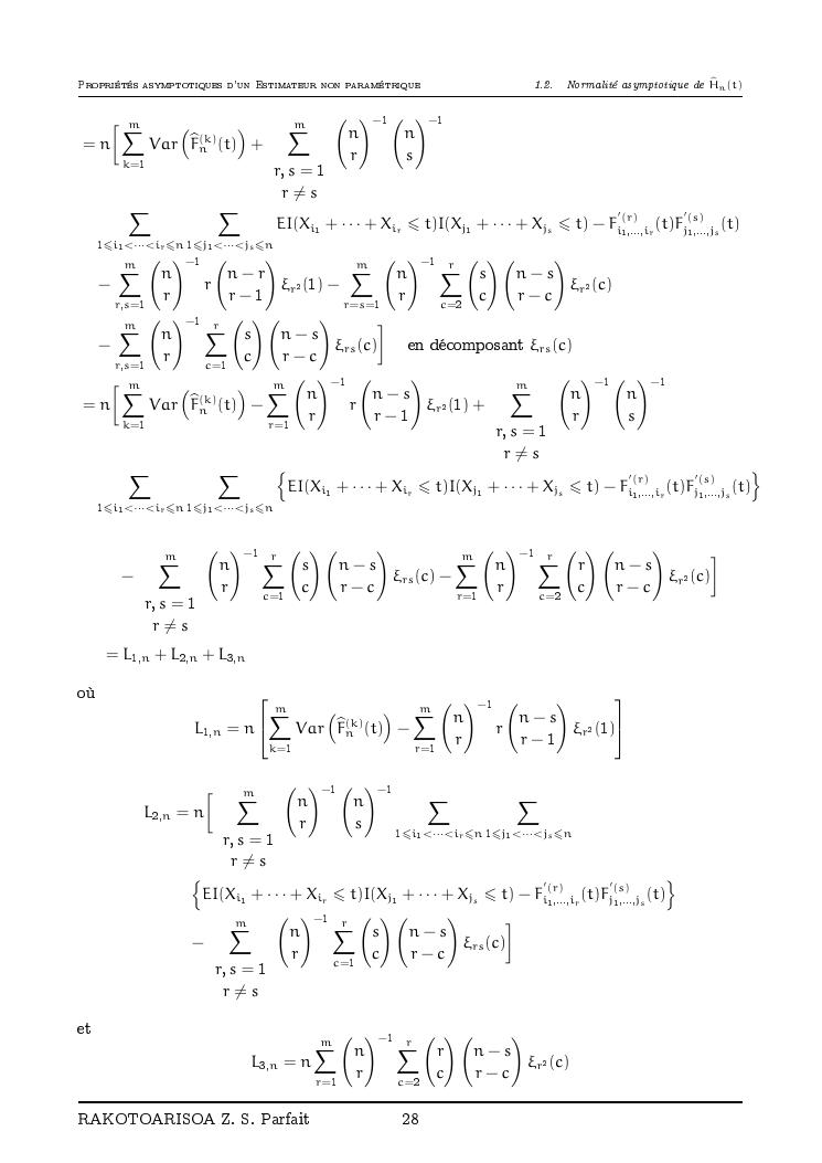
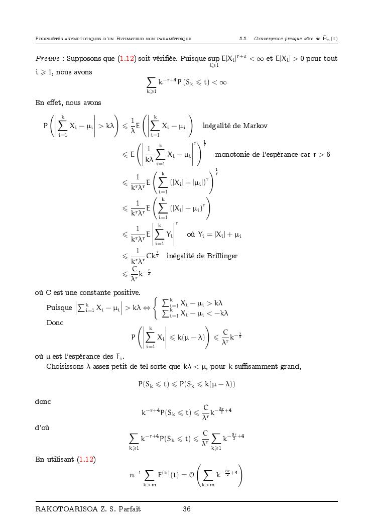
propriétés asymptotiques de l'estimateur non paramétrique de la fonction de renouvellement associé à des variables aléatoires positives indépendantes et non stationnaires