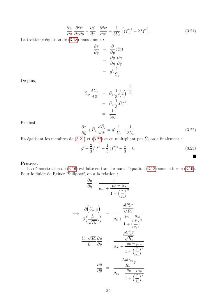
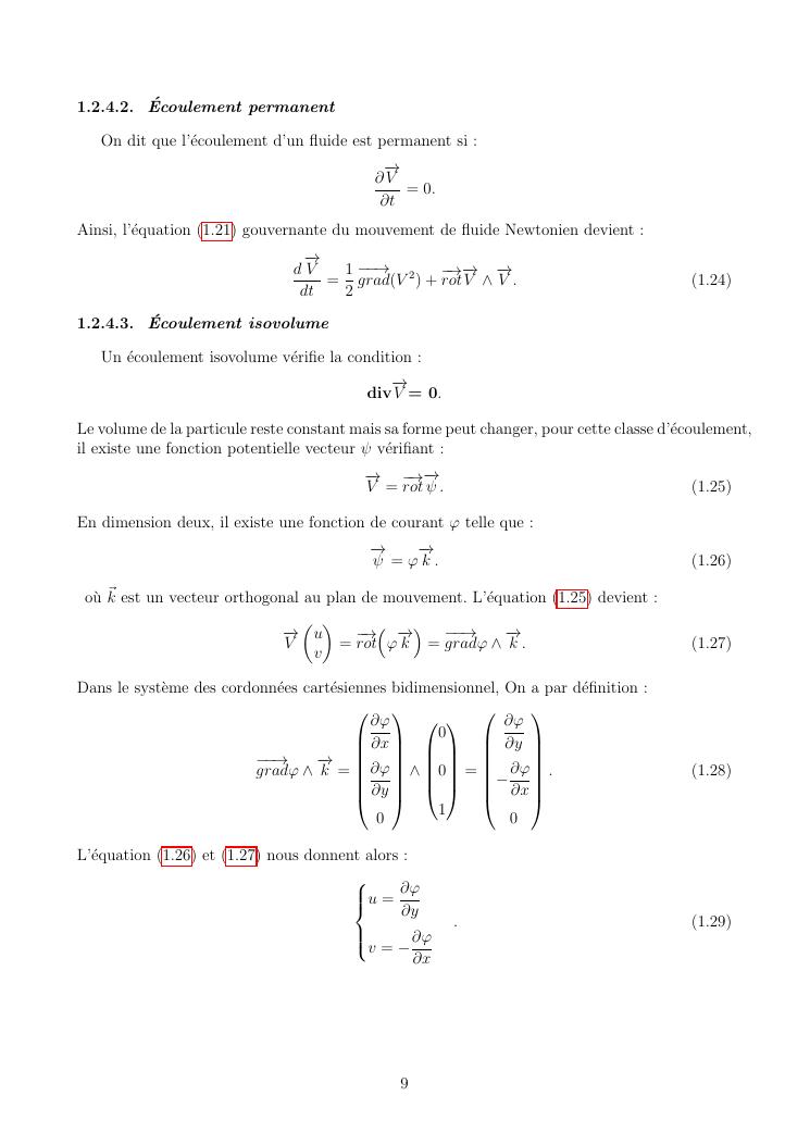
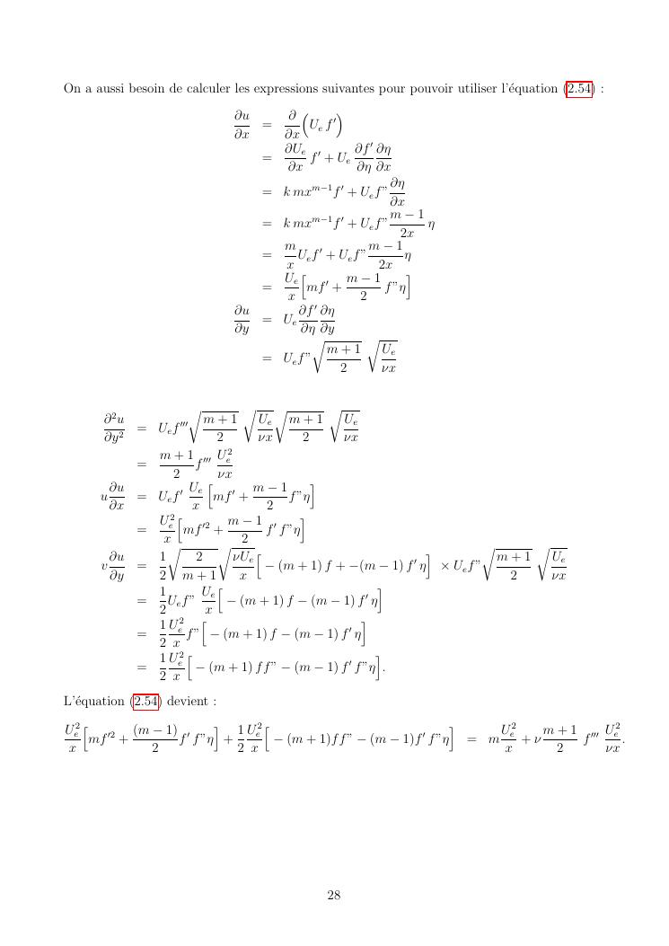
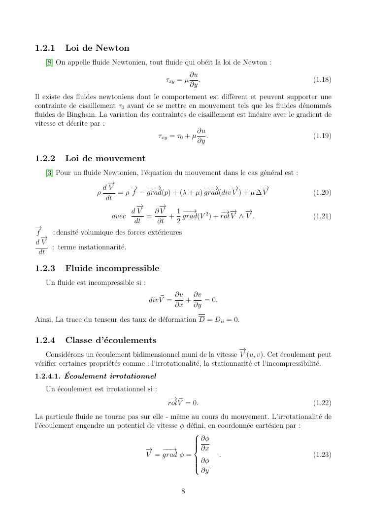
Université d’Antananarivo
Accueil
Thèses
Mémoires
Statistiques
recherche
Connexion
couche limite de fluides newtoniens et non newtoniens