Université d’Antananarivo
Accueil
Thèses
Mémoires
Statistiques
recherche
Connexion
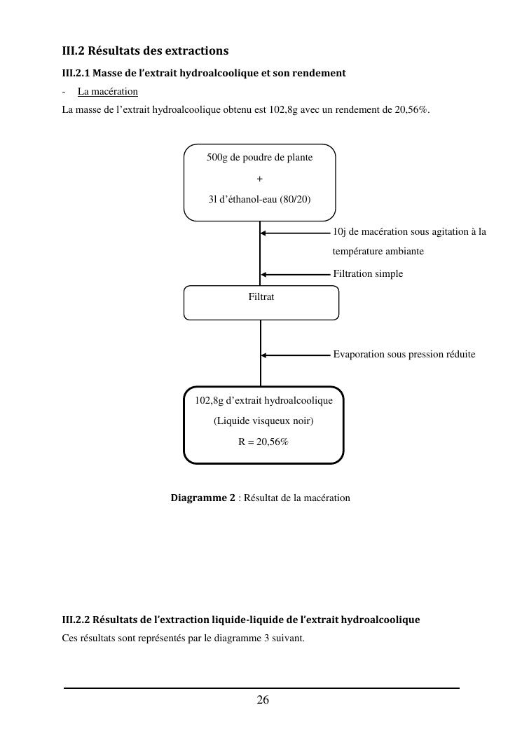
chalcone isolée du psorospermum sp (clusiaceae) et activités antioxydantes des extraits