Université d’Antananarivo
Accueil
Thèses
Mémoires
Statistiques
recherche
Connexion
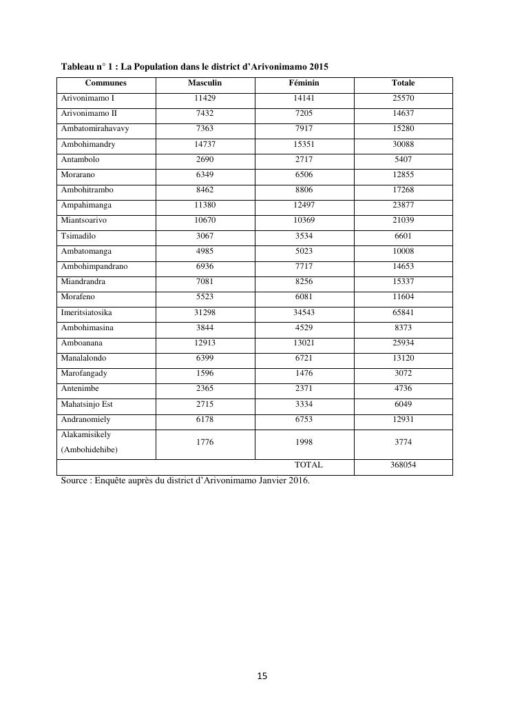
gestion et conservation des forets de tapia : moteur du developpement durable du district d'arivonimamo