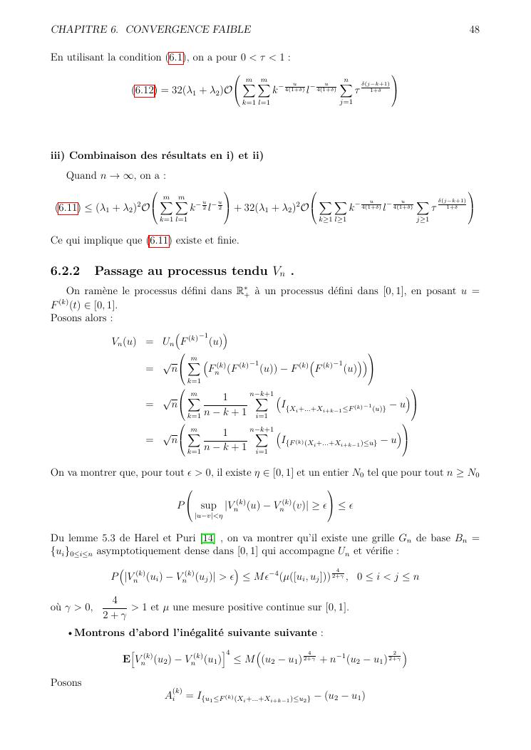
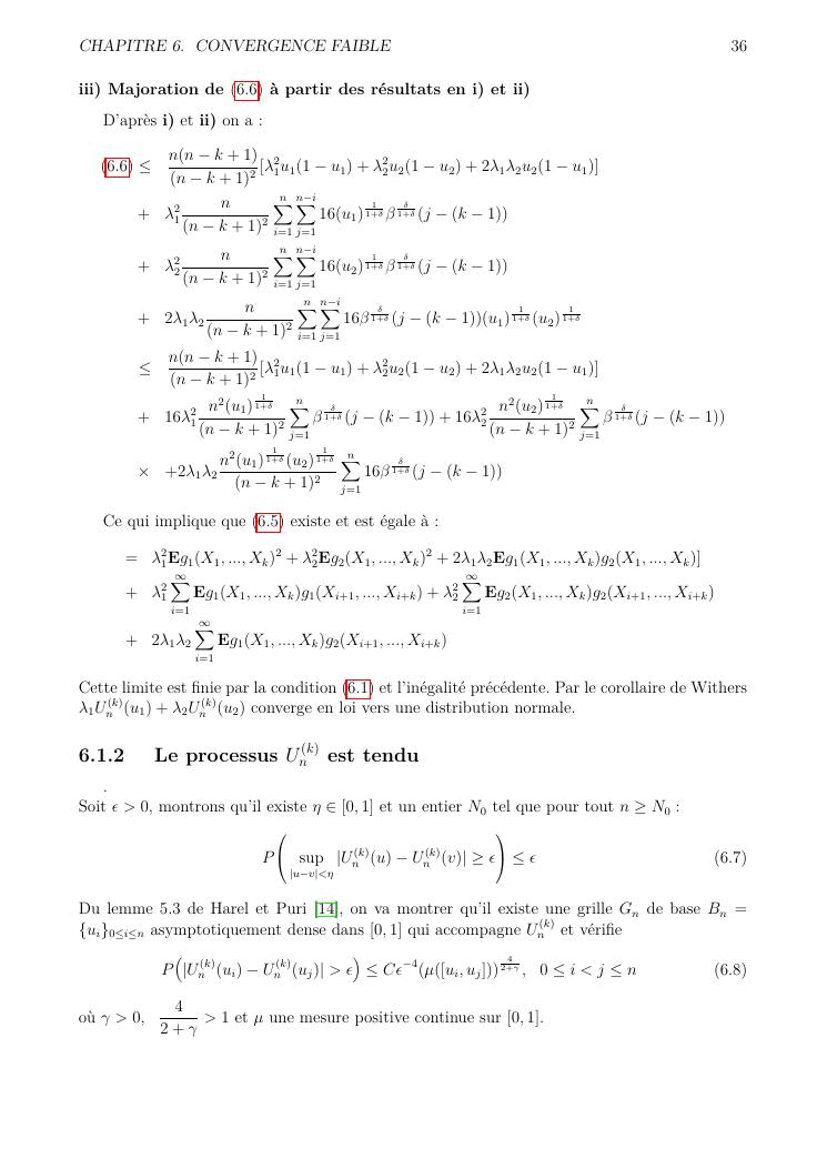
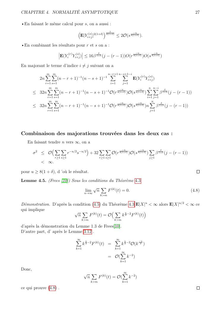
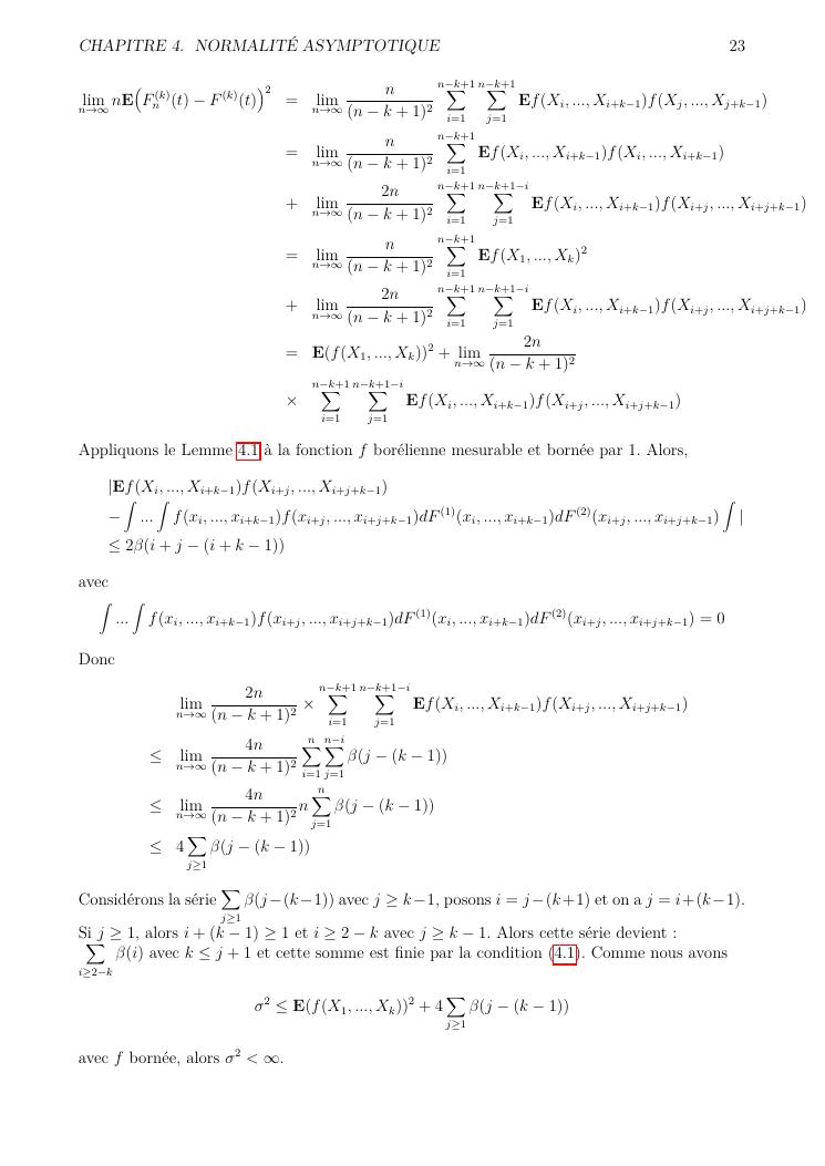
Université d’Antananarivo
Accueil
Thèses
Mémoires
Statistiques
recherche
Connexion
comportement asymptotique de l'estimateur non paramétrique de la fonction de renouvellement associée à des variables aléatoires positives stationnaires beta-mélangeantes