Université d’Antananarivo
Accueil
Thèses
Mémoires
Statistiques
recherche
Connexion
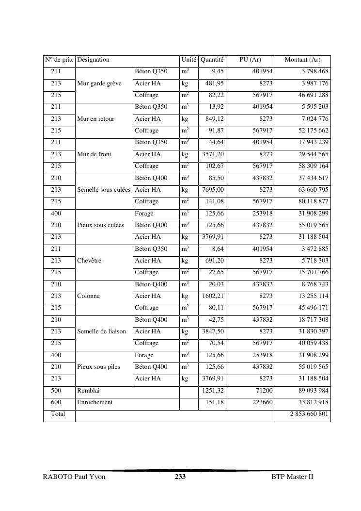
projet de construction d'un pont sis à manambatromby sur la rn4 au pk 374 + 254