Université d’Antananarivo
Accueil
Thèses
Mémoires
Statistiques
recherche
Connexion
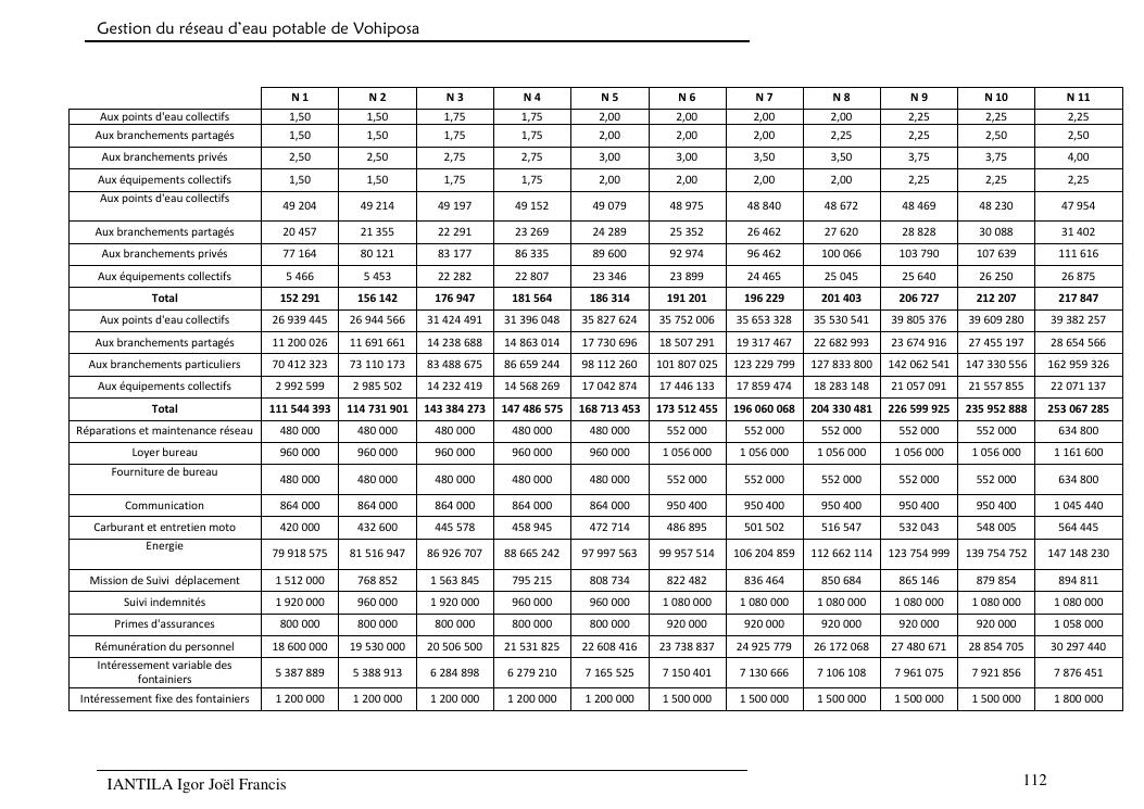
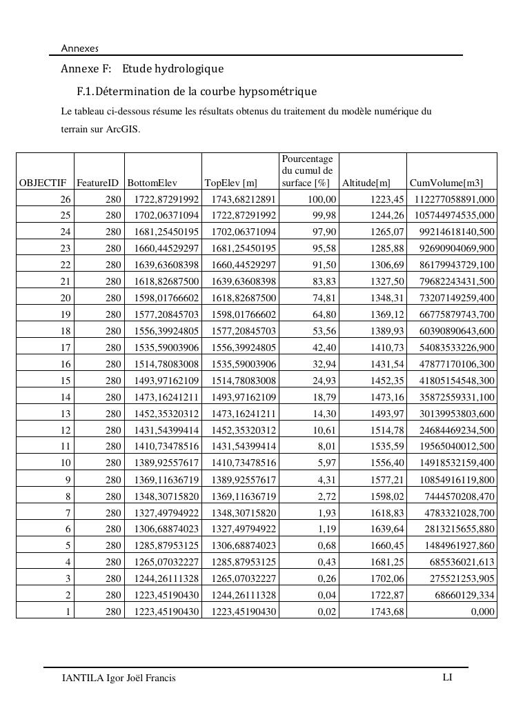
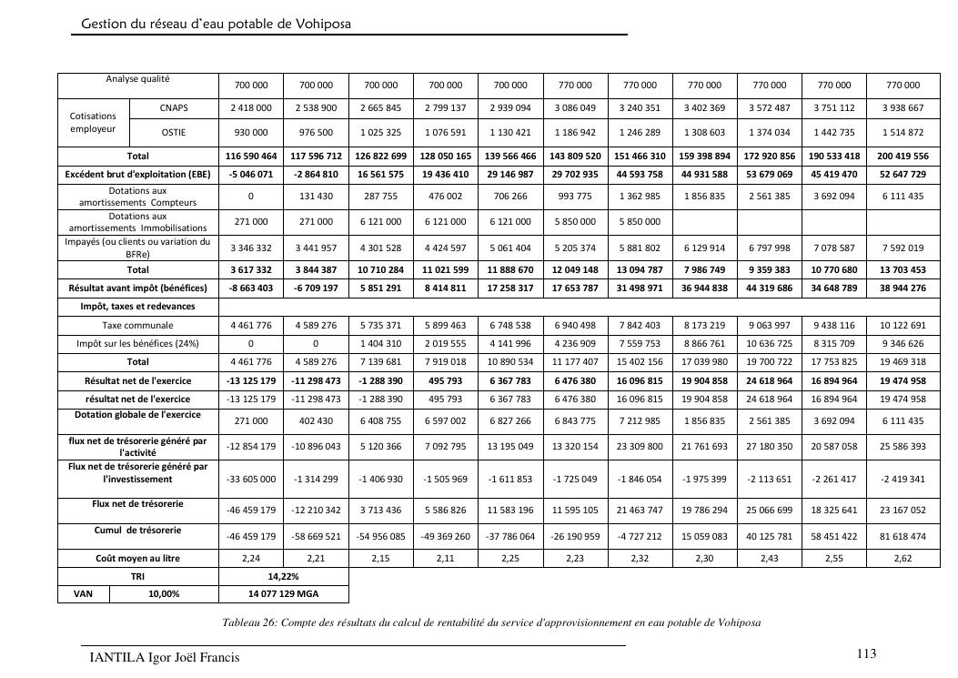
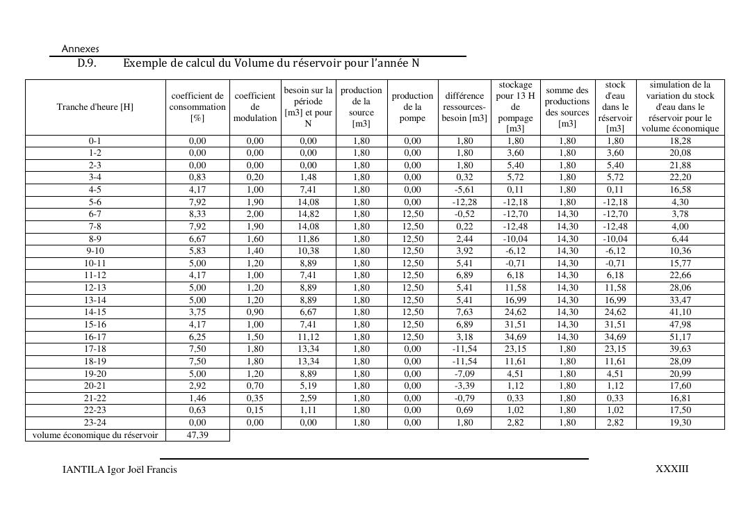
optimisation du reseau d'adduction d'eau potable de vohiposa pour un service d'approvisionnement durable en eau