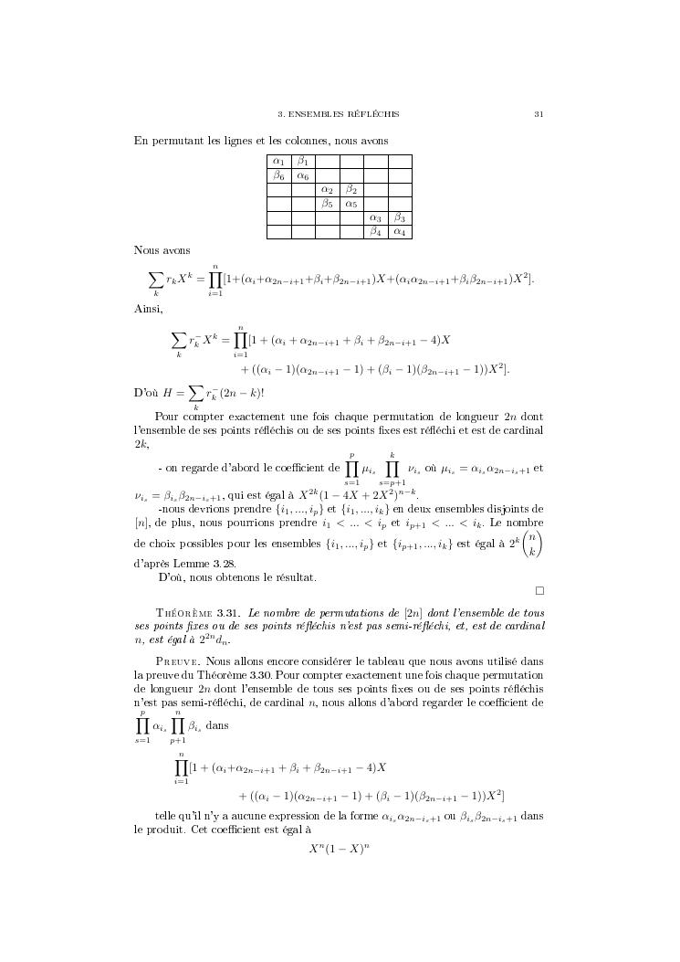
Université d’Antananarivo
Accueil
Thèses
Mémoires
Statistiques
recherche
Connexion
polynômes de tour et nombres eulériens