Université d’Antananarivo
Accueil
Thèses
Mémoires
Statistiques
recherche
Connexion
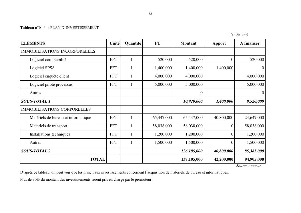
projet d'etablissement d'un cabinet d'etudes et de conseils (advisory and change board) à madagascar