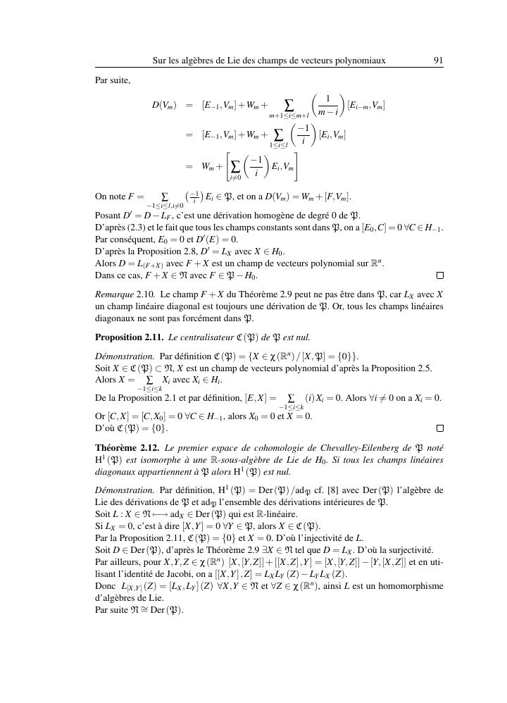
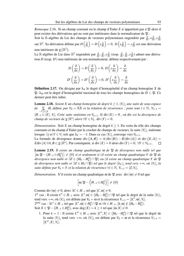
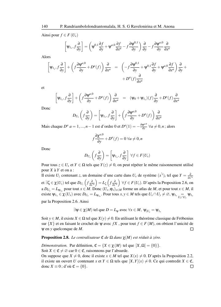
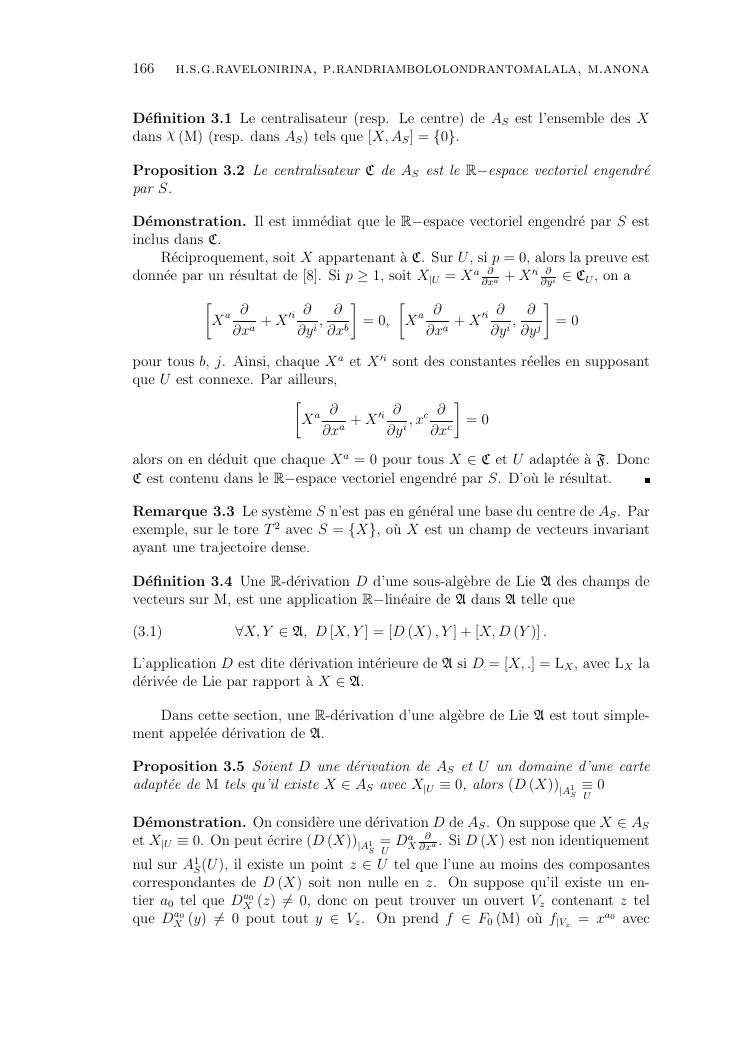
Université d’Antananarivo
Accueil
Thèses
Mémoires
Statistiques
recherche
Connexion
contribution sur les algebres de lie des champs de vecteurs et l'histoire de mathematiques. volume 2 : ensemble des travaux de recherches