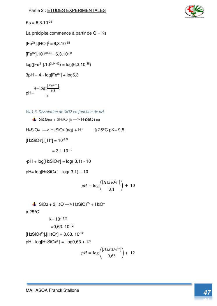
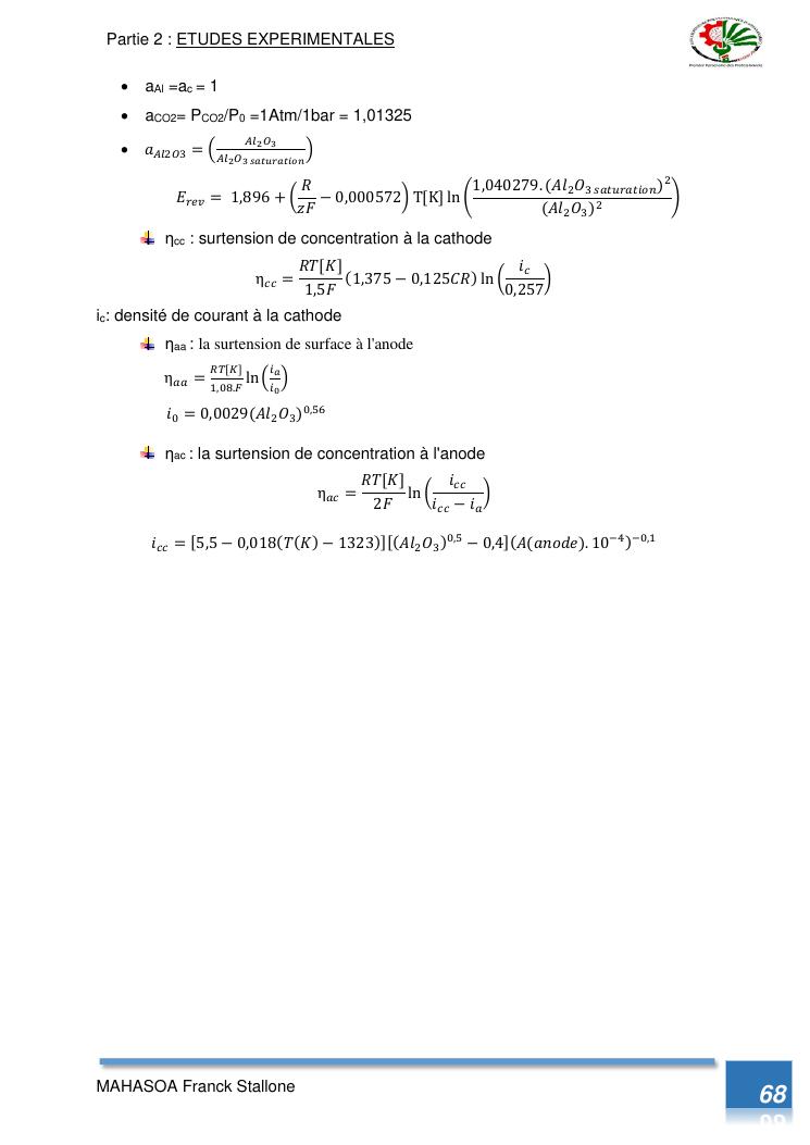
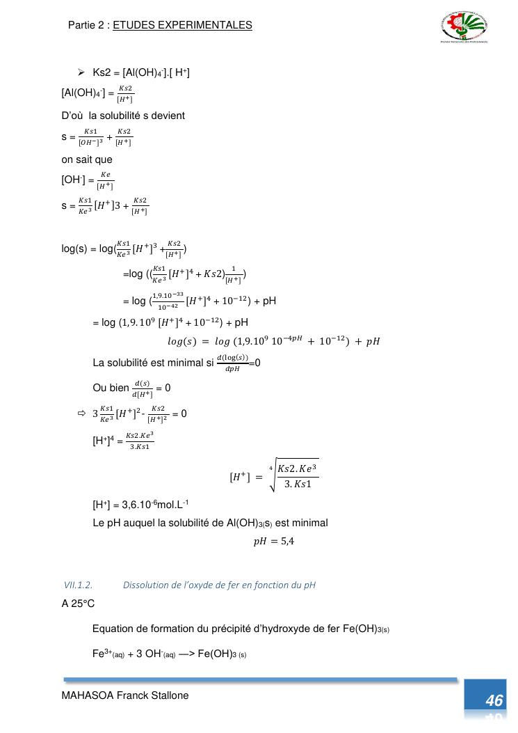
Université d’Antananarivo

contribution a l'etude de l'extraction de l'aluminium de la bauxite d'antanifotsy