Université d’Antananarivo
Accueil
Thèses
Mémoires
Statistiques
recherche
Connexion
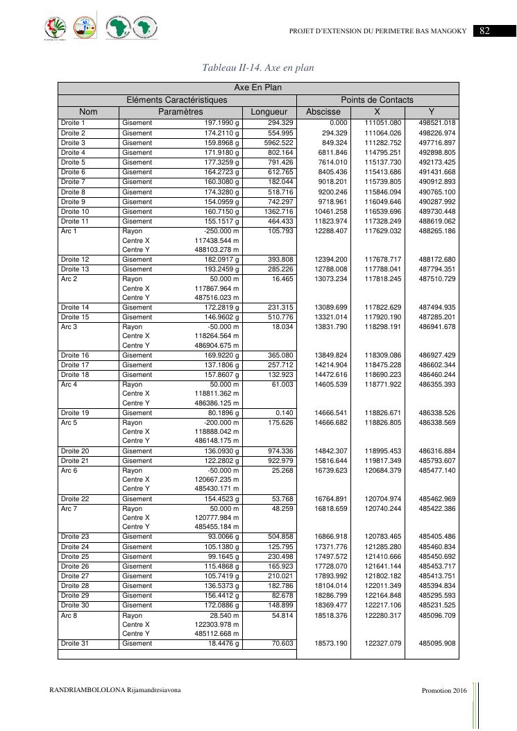
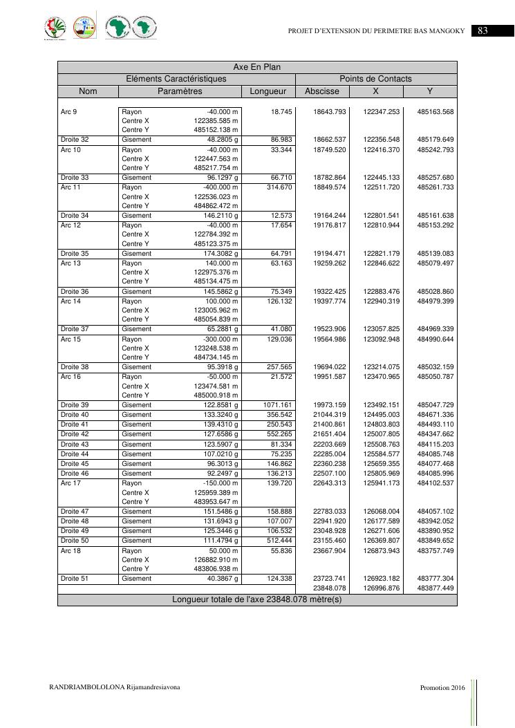
travaux topographiques pour la realisation du canal principal p2 extension du perimetre irrigue de bas mangoky