Université d’Antananarivo
Accueil
Thèses
Mémoires
Statistiques
recherche
Connexion
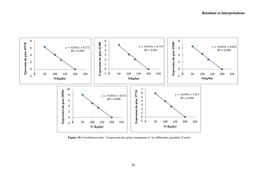
phénotypage d'une population candidate de riz (oryza sativa l.) ssp japonica pour l'adaptation aux différentes conditions d'irrigation et évaluation de l'état nutritionnel azoté en utilisant une approche moléculaire