Université d’Antananarivo
Accueil
Thèses
Mémoires
Statistiques
recherche
Connexion
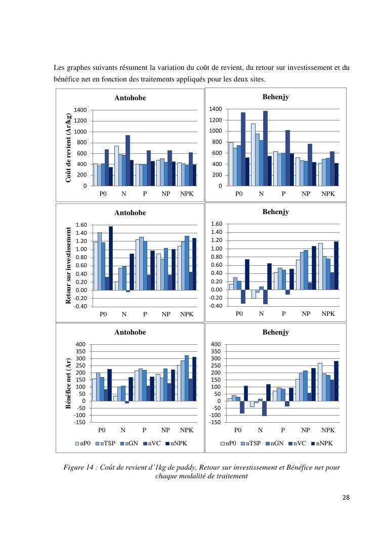
effet d'une micro-dose de phosphore sur la pépinière de la riziculture irriguée : cas de la région vakinankaratra