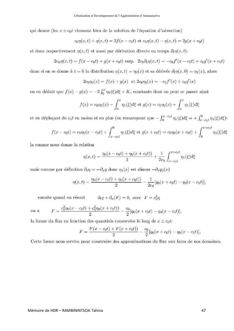
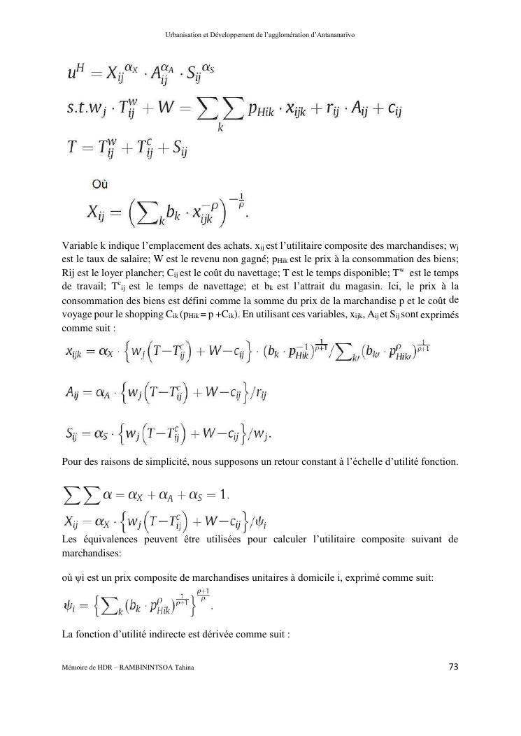
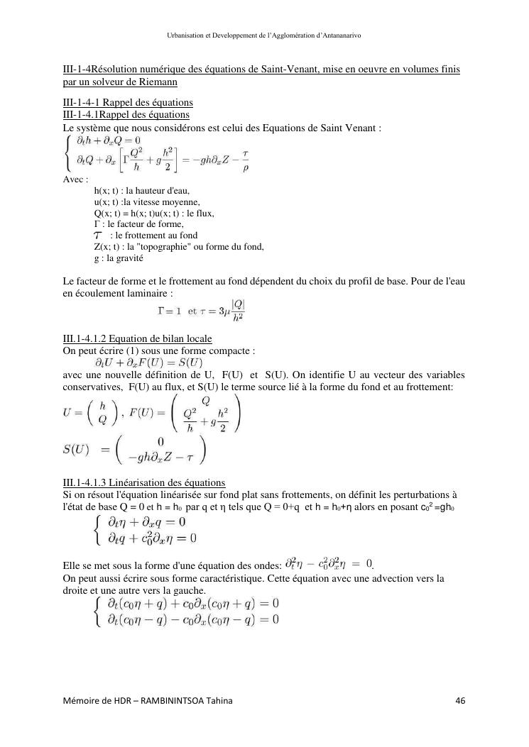
Université d’Antananarivo
Accueil
Thèses
Mémoires
Statistiques
recherche
Connexion
etude de l'urbanisation et du developpement economique de l'agglomeration d'antananarivo par la theorie des jeux et la modelisation mathematique. volume 2 : document de synthèse