Université d’Antananarivo
Accueil
Thèses
Mémoires
Statistiques
recherche
Connexion
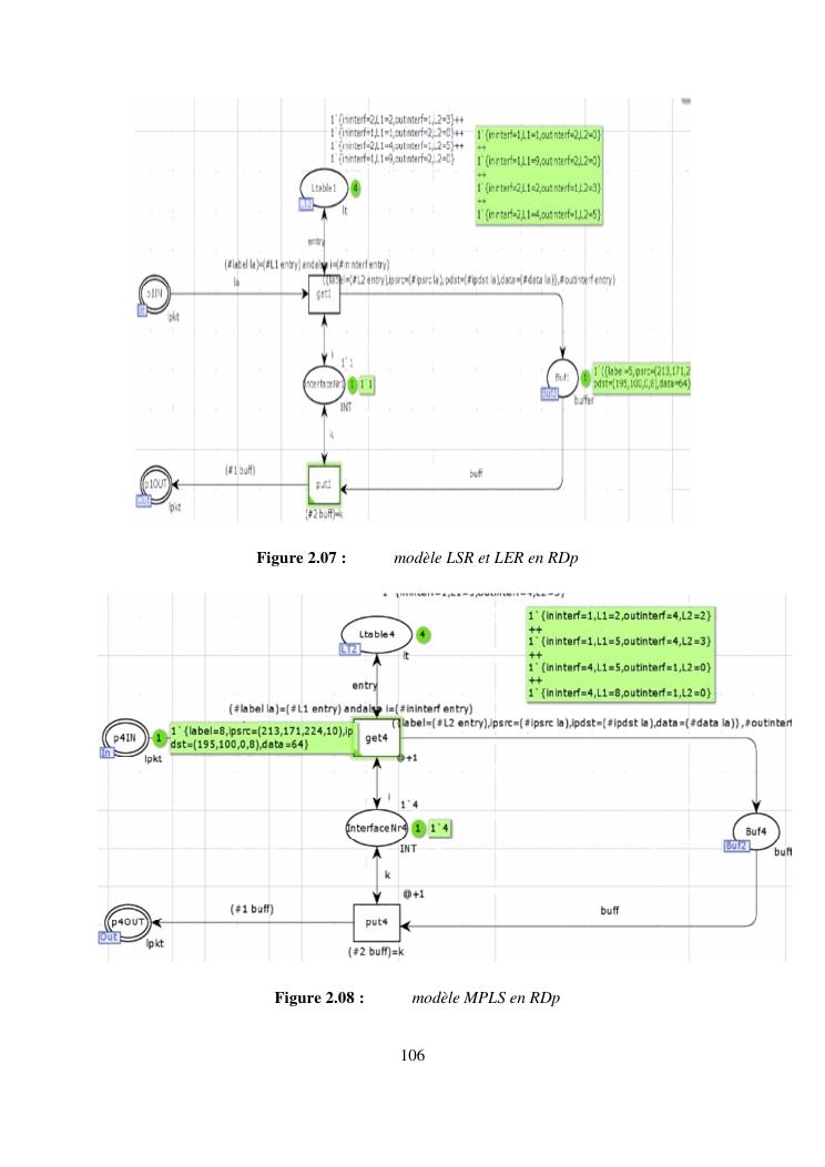
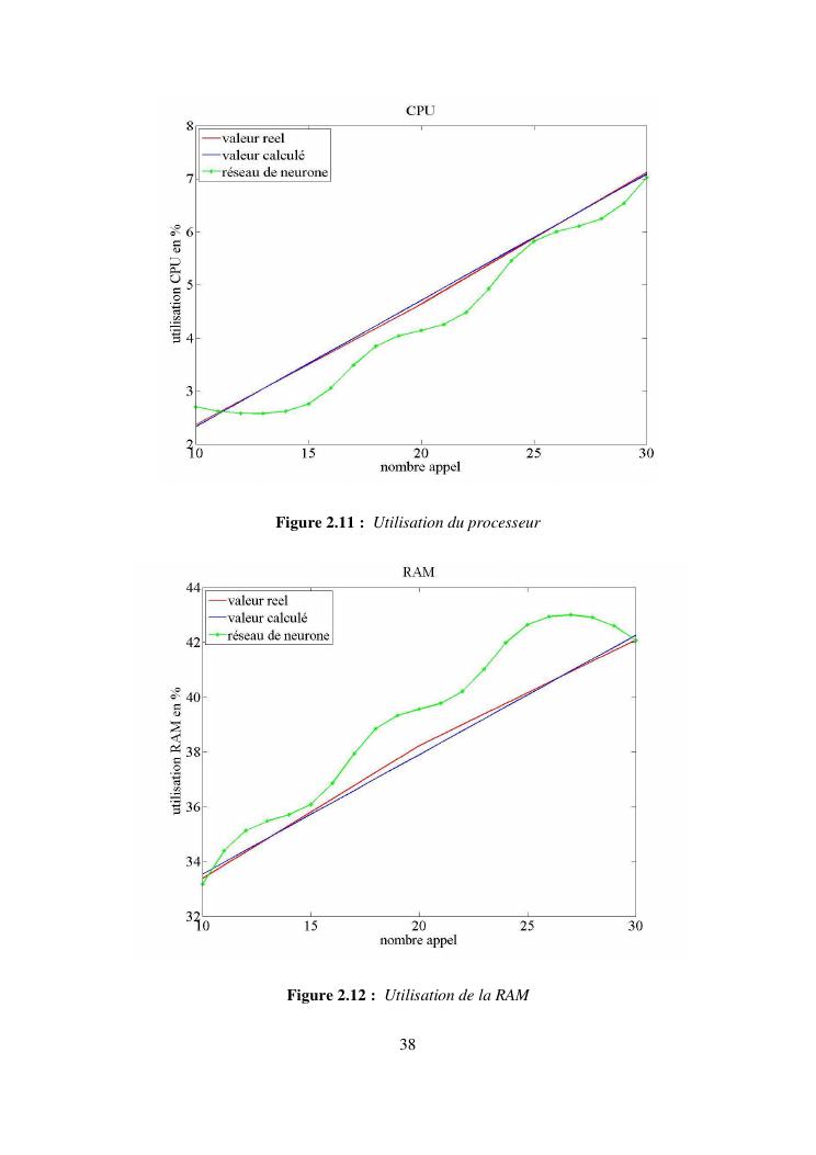
contribution a la modelisation des reseaux informatiques et des systemes de telecommunications. volume 2 : document de synthèse