Université d’Antananarivo
Accueil
Thèses
Mémoires
Statistiques
recherche
Connexion
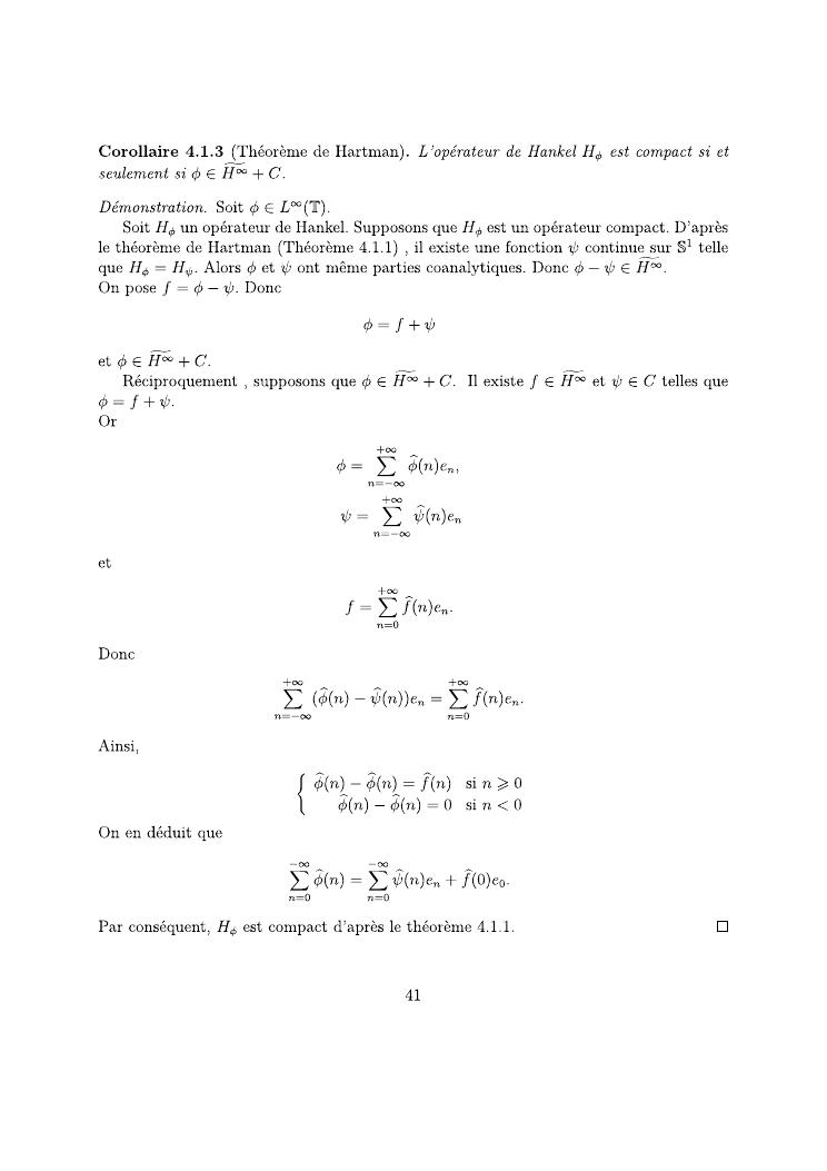
les operateurs de hankel