Université d’Antananarivo
Accueil
Thèses
Mémoires
Statistiques
recherche
Connexion
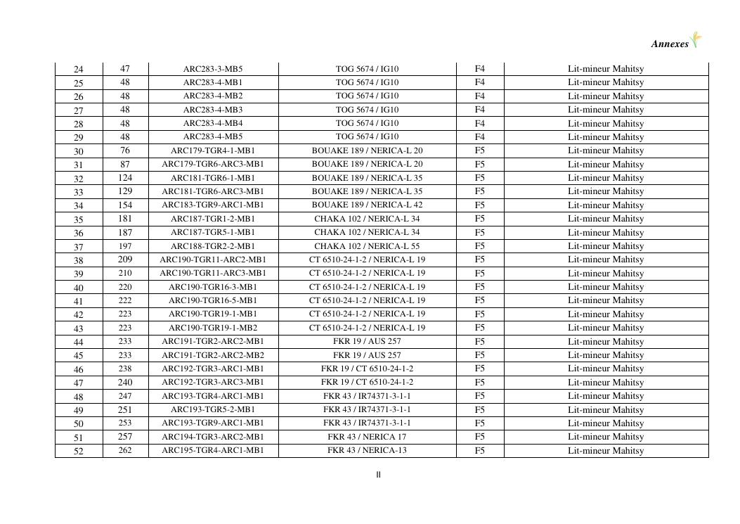
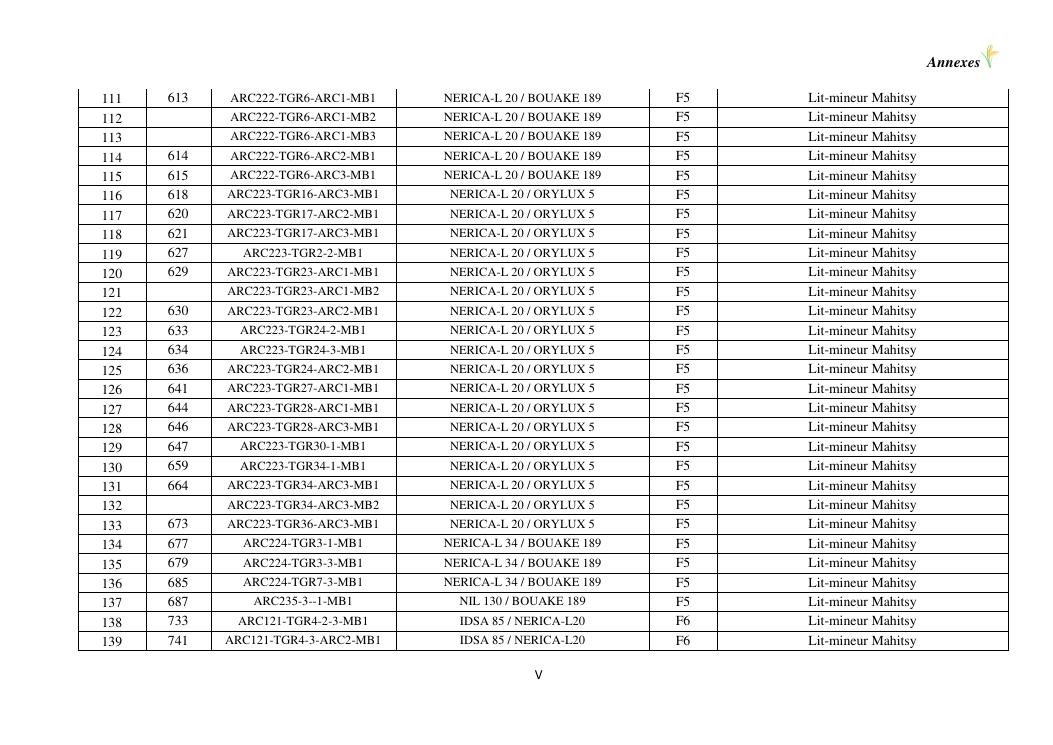
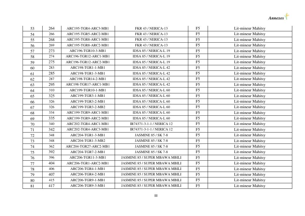
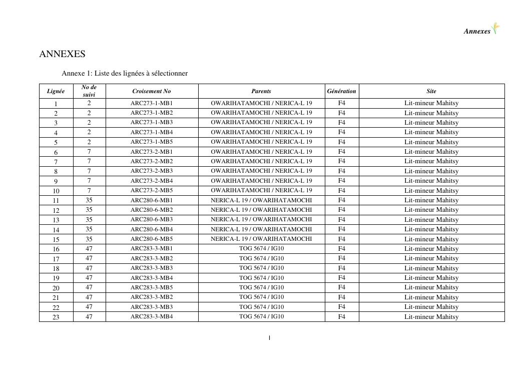
sélection de lignées de riz issues des croisements oryza sativa l. x oryza glaberrima steud. adaptées à la riziculture de bas-fond de madagascar : cas de mahitsy