Université d’Antananarivo
Accueil
Thèses
Mémoires
Statistiques
recherche
Connexion
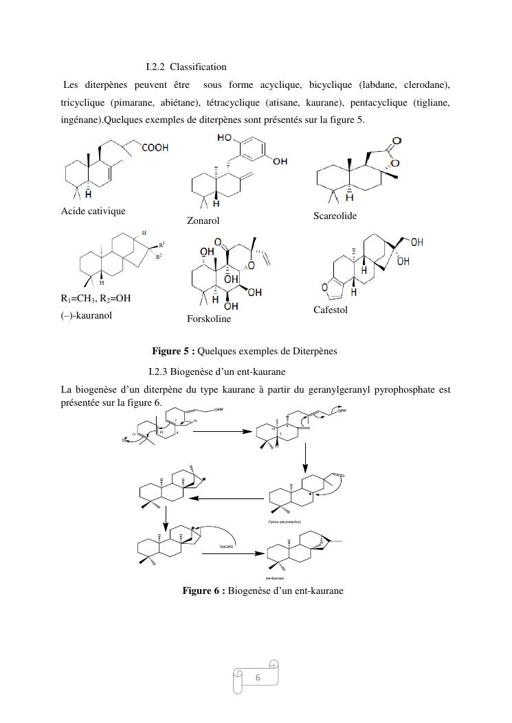
isolement d'un kaurane activites antidiarrheique et antioxydante des feuilles d'erythroxylum ferrugineum cav. (erythroxylaceae)