Université d’Antananarivo
Accueil
Thèses
Mémoires
Statistiques
recherche
Connexion
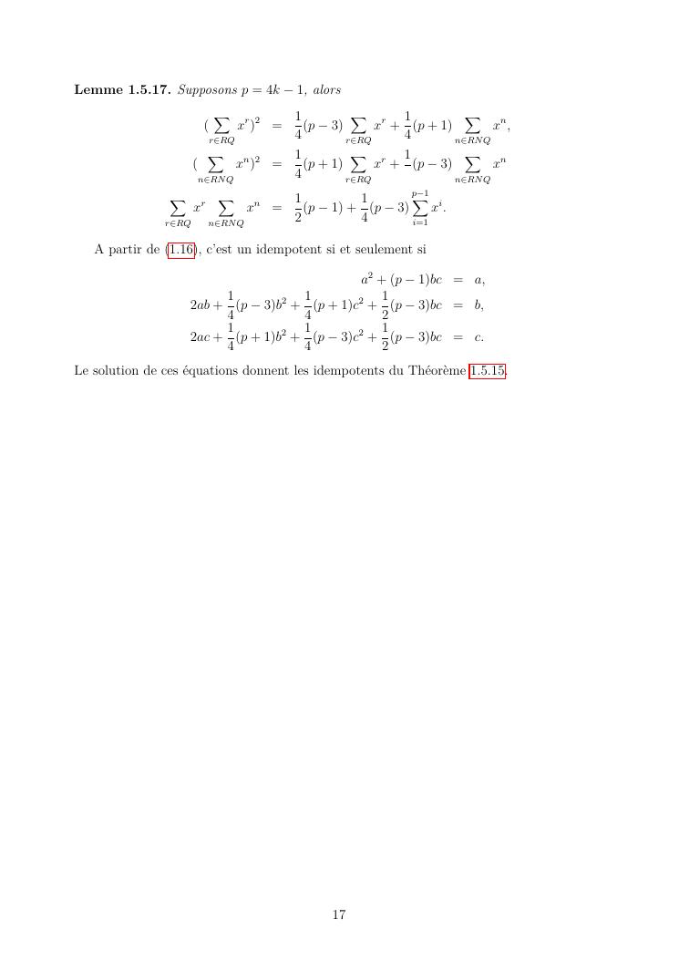
les codes de kerdock binaires et quaternaires