Université d’Antananarivo
Accueil
Thèses
Mémoires
Statistiques
recherche
Connexion
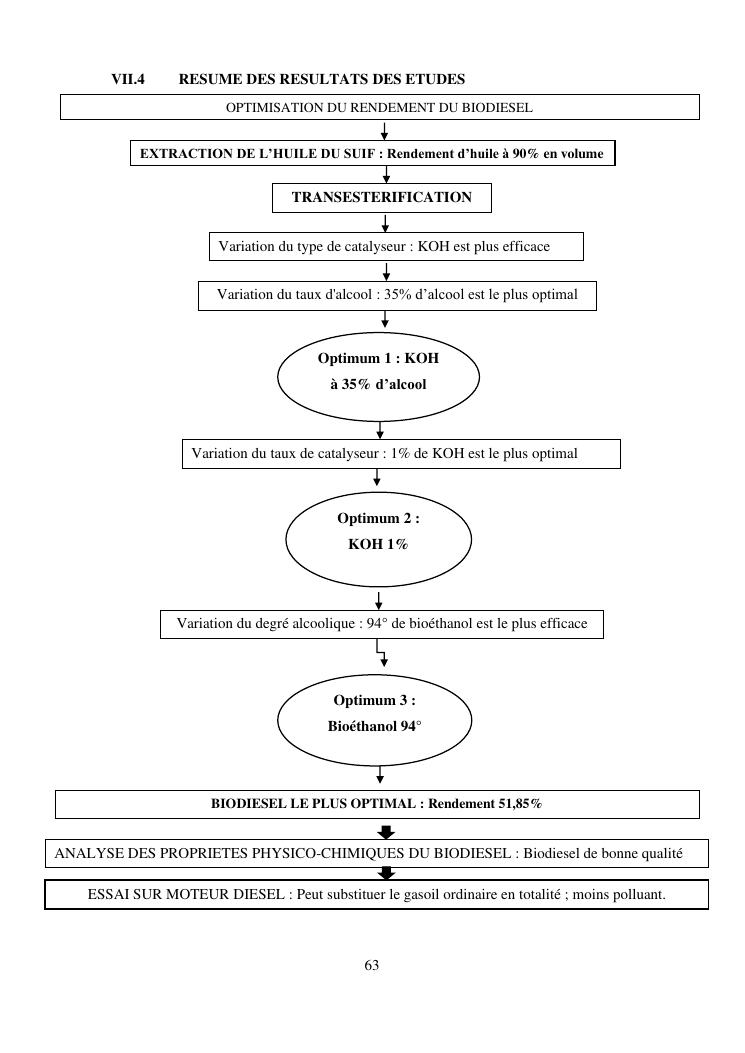
optimisation de la production de l'huile du suif de boeuf pour la fabrication de biodiesel par transesterification