Université d’Antananarivo
Accueil
Thèses
Mémoires
Statistiques
recherche
Connexion
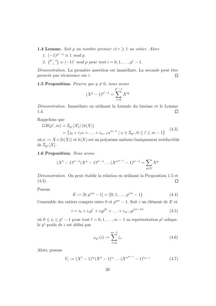
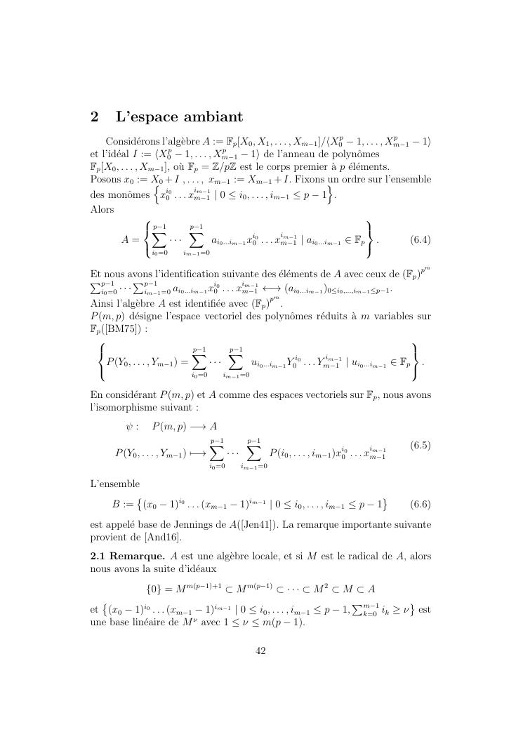
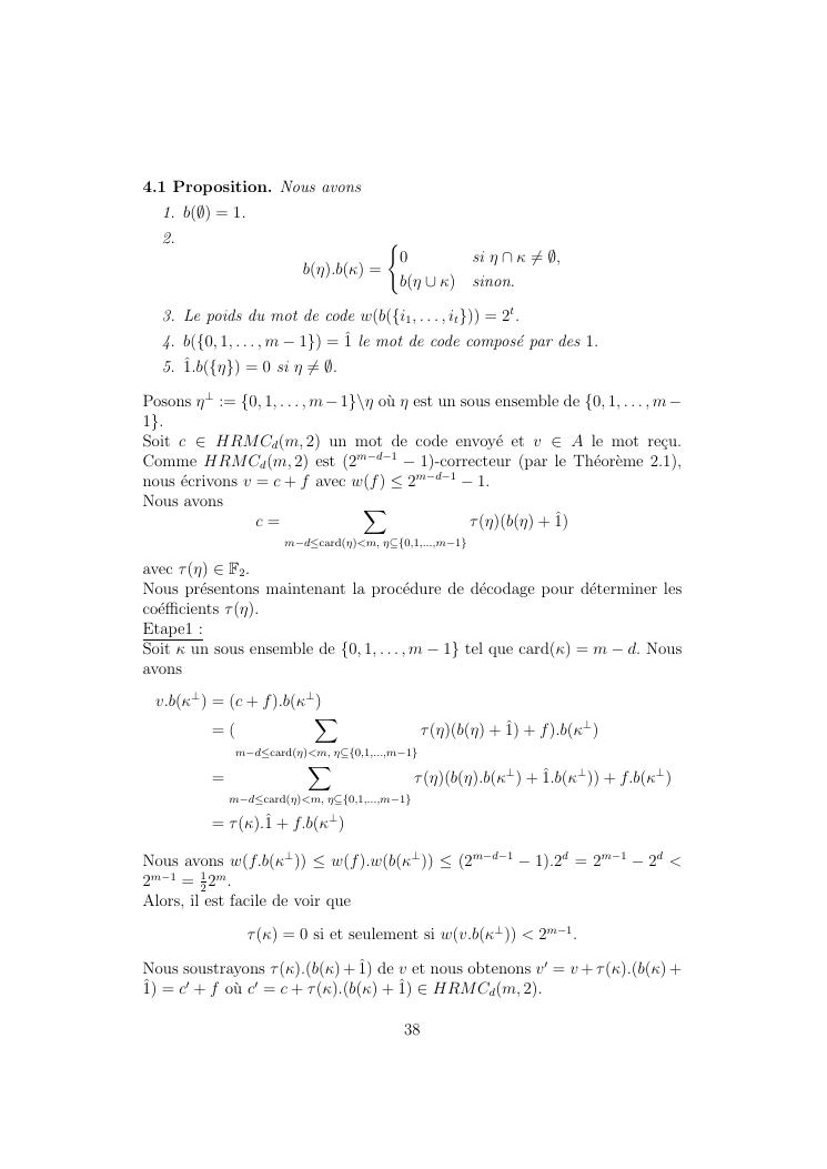
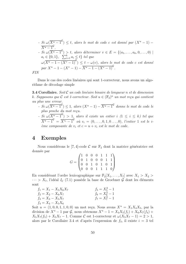
etudes sur la famille des codes reed-muller. volume i : synthese des travaux