Université d’Antananarivo
Accueil
Thèses
Mémoires
Statistiques
recherche
Connexion
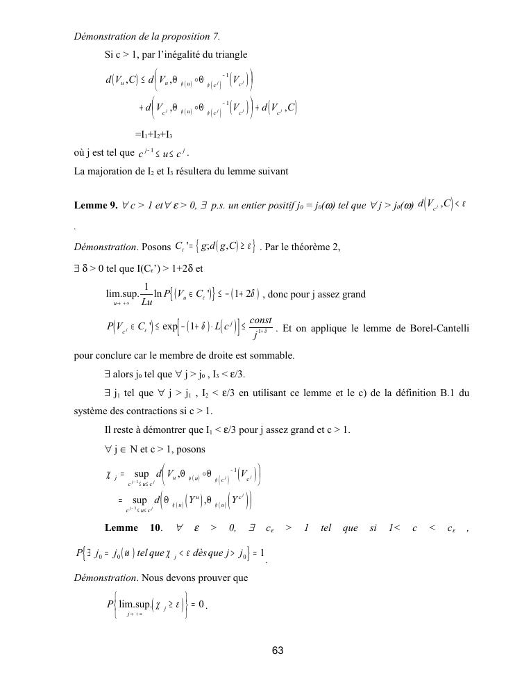
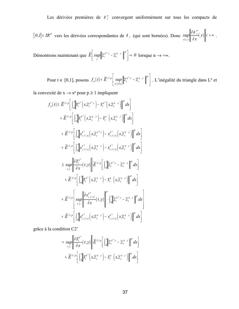
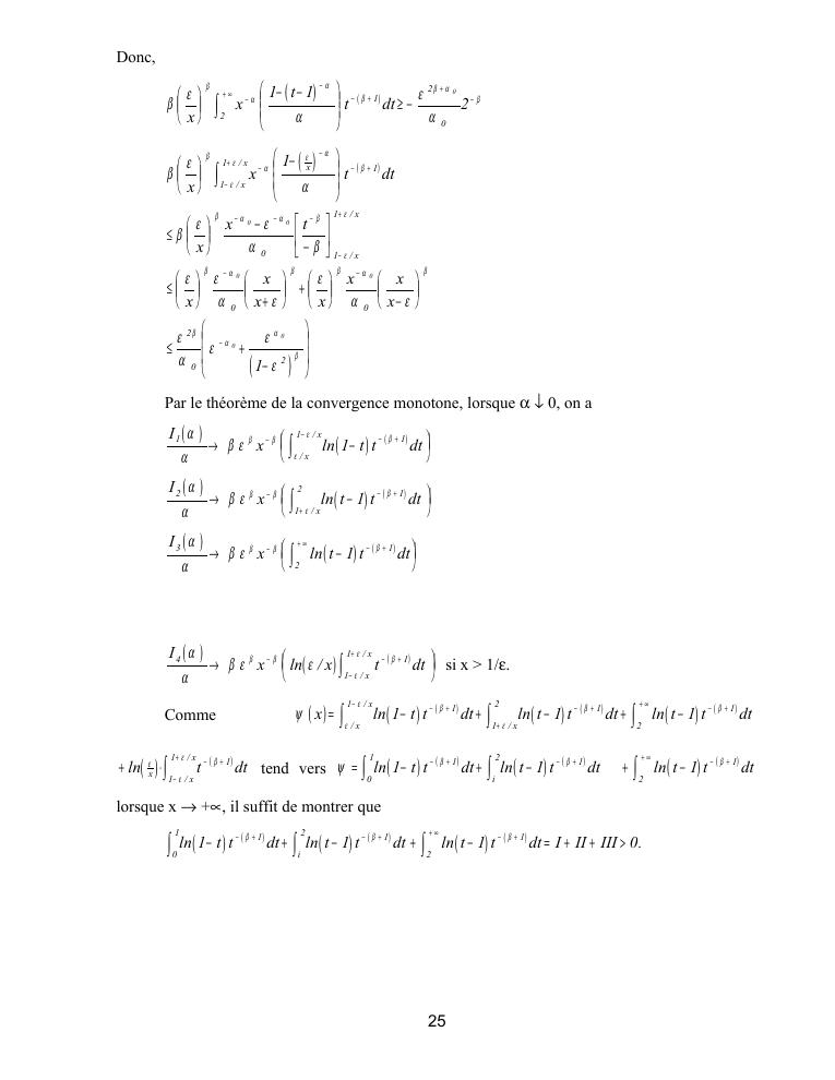
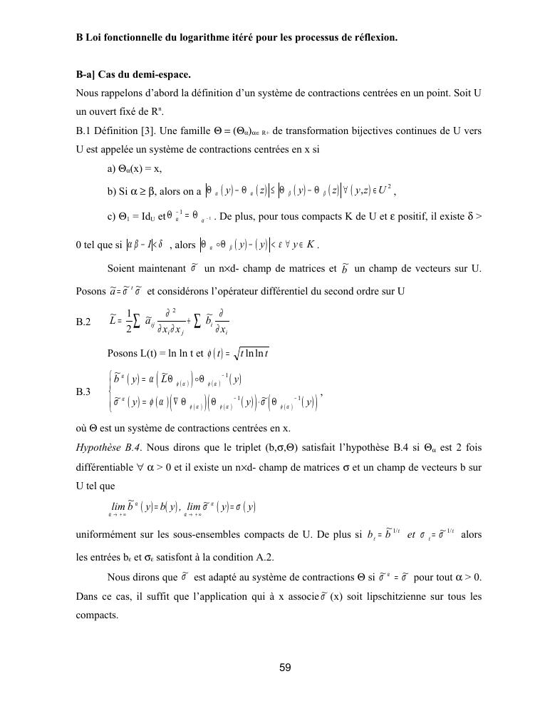
contribution a l'etude des chaines de differences absolues et des grandes deviations